М
Молодежь
К
Компьютеры-и-электроника
Д
Дом-и-сад
С
Стиль-и-уход-за-собой
П
Праздники-и-традиции
Т
Транспорт
П
Путешествия
С
Семейная-жизнь
Ф
Философия-и-религия
Б
Без категории
М
Мир-работы
Х
Хобби-и-рукоделие
И
Искусство-и-развлечения
В
Взаимоотношения
З
Здоровье
К
Кулинария-и-гостеприимство
Ф
Финансы-и-бизнес
П
Питомцы-и-животные
О
Образование
О
Образование-и-коммуникации

Log4(x+3) -log4(x-1)=2-log4(8) решите

👇
Ответ:
vvozmisheva2
vvozmisheva2
24.12.2020
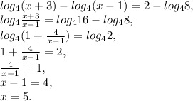
log_4(x+3)-log_4(x-1)=2-log_48, \\ 
log_4 \frac{x+3}{x-1} =log_416-log_48, \\ 
log_4 (1+\frac{4}{x-1}) =log_42, \\ 
1+\frac{4}{x-1}=2, \\ 
\frac{4}{x-1}=1, \\ 
x-1=4, \\ 
x=5.
4,7(19 оценок)
Открыть все ответы
Ответ:
vika02bel
vika02bel
24.12.2020

Объяснение:

СМЕНА ЗНАКА В НЕРАВЕНСТВАХ

И логарифмическая, и показательная функция могут быть либо монотонно убывающей (при основании < 1 ), либо монотонно возрастающей ( при основании больше 1 ). Если функция является монотонно возрастающей, тогда ее значение будет тем больше, чем больше аргумент. Поэтому, если основание логарифма или основание показательной функции больше 1, то при снятии логарифма или экспоненты знак неравенства сохраняется. Если функция монотонно убывает, то ее значение тем меньше, чем больше аргумент. Поэтому, при основании меньше 1 знак неравенства изменяется на противоположный.

Это очень важное свойство, о котором, тем не менее, очень часто забывают.

4,5(68 оценок)
Ответ:
msyesta
msyesta
24.12.2020
Решение: Примем скорость первого бегуна за х, тогда скорость второго бегуна х + 8. Примем расстояние одного круга за S. Тогда первый бегун пробежал за час S - 1 км. Тогда х = ( S - 1 ) / 1 = S - 1. Второй бегун пробежал весь круг за 60 - 20 = 40 минут или 2/3 часа, значит его скорость равна: х + 8 = S / ( 2/3 ); х = S / (2/3 ) - 8. Теперь можем составить уравнение и найти расстояние 1 круга: S - 1 = S / (2/3 ) - 8; S - 1 = 3S/2 - 8; 2S - 2 = 3S - 16; -2 + 16 = 3S - 2S; S = 14 км. Теперь, зная расстояние, можем найти скорость: х = 14 - 1 = 13 км/ч. ответ: Скорость первого бегуна 13 км/ч.
4,7(90 оценок)
Новые ответы от MOGZ: Алгебра
logo
Вход Регистрация
Что ты хочешь узнать?
Спроси Mozg
Открыть лучший ответ