М
Молодежь
К
Компьютеры-и-электроника
Д
Дом-и-сад
С
Стиль-и-уход-за-собой
П
Праздники-и-традиции
Т
Транспорт
П
Путешествия
С
Семейная-жизнь
Ф
Философия-и-религия
Б
Без категории
М
Мир-работы
Х
Хобби-и-рукоделие
И
Искусство-и-развлечения
В
Взаимоотношения
З
Здоровье
К
Кулинария-и-гостеприимство
Ф
Финансы-и-бизнес
П
Питомцы-и-животные
О
Образование
О
Образование-и-коммуникации

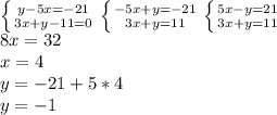
Решите систему линейных урвнений {y-5x=-21 {3x+y-11=0

👇
Ответ:
vikt24oria
vikt24oria
17.12.2020
\left \{ {{y-5x=-21} \atop {3x+y-11=0}} \right. \left \{ {{-5x+y=-21} \atop {3x+y=11}} \right. \left \{ {{5x-y=21} \atop {3x+y=11}} \right. \\8x=32\\x=4\\y=-21+5*4\\y=-1
4,5(59 оценок)
Открыть все ответы
Ответ:
elektroo67
elektroo67
17.12.2020
Что представляет из себя функция ? 
Это сумма постоянной величины  А=(6+(7√3)/2+7pi/2), c  -7cosx , принимающей значения от -7 до +7, и прямой -3,5х , принимающей значения  от +∞ до -∞ на всей числовой оси, ясно, что предел функции
при х→ +∞ будет -∞ , но убывает она не монотонно ,а колеблясь вокруг
убывающей прямой , поэтому нельзя с уверенность сказать, что в данном замкнутом отрезке значение y(7pi/2) будет минимальным.
Поэтому  будем брать производную , приравняем ее к 0 , найдем 
экстремумы на данном отрезке и тогда уже сделаем вывод.
Дальше я буду писать на листочке и прикреплю его.

Найдите наименьшее значение функции: у= 6+ 7корнейиз3/2 +7пи/2 -7*cosx -3,5x на промежутке(закрытый
4,8(28 оценок)
Ответ:
Агент271
Агент271
17.12.2020
                    S                       V                        t
туда           80 км            18 +х км/ч              80/(18 +х) ч
обратно     80 км             18 -х км/ч              80/(18 - х) ч
V теч. = х км/ч
1 ч 20 мин. = 1 1/3 ч = 4/3 ч
10 1/3 ч = 31/3 ч
80/(18 +х) + 4/3 + 80/(18 - х) = 31/3 
80/(18 +х) + 80/(18 - х) = 31/3 - 4/3
80/(18 +х) + 80/(18 - х) = 9 | * (18 -х)(18 +х) ≠ 0
80*(18 - х) + 80*(18 +х) = 9*(18 -х)(18 +х)
1440 - 80х + 1440 + 80х = 9* (324-х²)
2880 = 2916 - 9х²
9х² = 36
х² = 4
х = 2(км/ч) - скорость течения.
4,5(30 оценок)
Это интересно:
logo
Вход Регистрация
Что ты хочешь узнать?
Спроси Mozg
Открыть лучший ответ