М
Молодежь
К
Компьютеры-и-электроника
Д
Дом-и-сад
С
Стиль-и-уход-за-собой
П
Праздники-и-традиции
Т
Транспорт
П
Путешествия
С
Семейная-жизнь
Ф
Философия-и-религия
Б
Без категории
М
Мир-работы
Х
Хобби-и-рукоделие
И
Искусство-и-развлечения
В
Взаимоотношения
З
Здоровье
К
Кулинария-и-гостеприимство
Ф
Финансы-и-бизнес
П
Питомцы-и-животные
О
Образование
О
Образование-и-коммуникации
zadykamova
zadykamova
07.03.2023 11:17 •  Алгебра

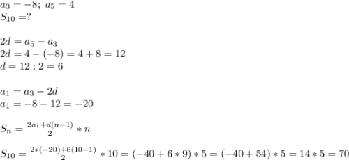
Найти сумму десяти первых членов арифметической прогрессии если а3=-8, а5=4

👇
Ответ:
PolinaS82001
PolinaS82001
07.03.2023

70

Объяснение:

a_3=-8;\;a_5=4\\S_{10}=?\\\\2d=a_5-a_3\\2d=4-(-8)=4+8=12\\d=12:2=6\\\\a_1=a_3-2d\\a_1=-8-12=-20\\\\S_{n}=\frac{2a_1+d(n-1)}{2}*n\\\\S_{10}=\frac{2*(-20)+6(10-1)}{2}*10=(-40+6*9)*5=(-40+54)*5=14*5=70

4,5(90 оценок)
Открыть все ответы
Ответ:
privetloll
privetloll
07.03.2023

1). R = 12 см

l = 2πR·α / 360°

1. l = 2π·12·36° / 360° = 24π/10 = 2,4π см

2. l = 2π·12·72° / 360° = 4,8π см

3. l = 2π·12·45° / 360° = 3π см

4. l = 2π·12·15° / 360° = π см

2) l = 2πR R = l / (2π)

S = πR² = πl² / (4π²) = l² / (4π)

1. l = 6π см

S = 36π² / (4π) = 9π см

2. l = 4π см

S = 16π² / (4π) = 4π см²

3. l = 10π см

S = 100π² / (4π) = 25π см²

4. l = 8π см

S = 64π² / (4π) = 16π см²

3)

а) R = 12 см,

l = πR·α / 180°

α = l · 180° / (πR)

1. l = 2π см

α = 2π · 180° / (12π) = 30°

2. l = 3π см

α = 3π · 180° / (12π) = 45°

б) R = 10 см,

Sсект = πR²·α / 360°

α = Sсект·360° / (πR²)

1. Sсект = 5π см²

α = 5π·360° / (100π) = 18°

2. Sсект = 10π см²

α = 10π·360° / (100π) = 36°

4,5(94 оценок)
Ответ:
Маrprokap
Маrprokap
07.03.2023

Объяснение:

На листе бумаги нарисуйте проекцию усеченного конуса и пунктиром достройте его до полного конуса с вершиной С.

Проведите центральную ось конуса из точки С.

Обозначьте точки пересечения этой прямой с верхним основанием - О, с нижним - М. Точки О и М являются центрами окружностей верхнего и нижнего оснований.

Обозначим точки пересечения образующей с нижним основанием А, с верхним В.

Из точки В опустим перпендикуляр ИК на нижнее основание.

Рассмотрим рисунок.

ВО=3 см, АМ=6 см, АВ = 5 см.

Фигура ВОМК - прямоугольник (т.к. углы ВОМ и ОМА прямые), значит, КМ=ВО=3 см

АК=АМ-КМ=3 см.

Рассмотрим треугольник АВК

Угол ВКА -прямой, длина гипотенузы 5 см, длина катета АК=3 см.

Длина катета ВК =корень квадратный(АВ^2-АК^2)=4 см

Котангенс угла ВАК=АК/ВК=3/4=0,75

4,4(76 оценок)
Это интересно:
logo
Вход Регистрация
Что ты хочешь узнать?
Спроси Mozg
Открыть лучший ответ