М
Молодежь
К
Компьютеры-и-электроника
Д
Дом-и-сад
С
Стиль-и-уход-за-собой
П
Праздники-и-традиции
Т
Транспорт
П
Путешествия
С
Семейная-жизнь
Ф
Философия-и-религия
Б
Без категории
М
Мир-работы
Х
Хобби-и-рукоделие
И
Искусство-и-развлечения
В
Взаимоотношения
З
Здоровье
К
Кулинария-и-гостеприимство
Ф
Финансы-и-бизнес
П
Питомцы-и-животные
О
Образование
О
Образование-и-коммуникации
лера2285
лера2285
01.02.2023 11:12 •  Алгебра

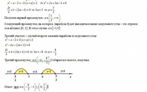
Найти а при которых min y < 2 y=3*|x+a| + |x^2-x-2|

👇
Ответ:
МОЗГ1987
МОЗГ1987
01.02.2023
Решение во вложении.
Найти а при которых min y < 2 y=3*|x+a| + |x^2-x-2|
Найти а при которых min y < 2 y=3*|x+a| + |x^2-x-2|
4,7(57 оценок)
Открыть все ответы
Ответ:
LadySmail
LadySmail
01.02.2023
Пусть катеты a и bа/b=3/4a=3b/4пусть меньший отрезок, на которые делит высота гипотенузу равен x тогда второая x+14по теореме высота h^2=x(x+14)по теореме пифагора a^2=x^2+h^2=x^2+x(x+14)=2x^2+14xснова по теореме пифагора: b^2=h^2+(x+14)^2=x(x+14)+(x+14)^2=x^2+14x+x^2+28x+196=2x^2+42x+196но так как мы сказали что a=3b/4 => a^2=9b^2/16=9(2x^2+42x+196)/169(2x^2+42x+196)/16=2x^2+14x9(2x^2+42x+196)=32x^2+224x18x^2+378x+1764=32x^2+224x-14x^2+154x+1764=014x^2-154x-1764=0x^2-11x-126=0x=18 осталось найти a и b и найти площадь
4,6(41 оценок)
Ответ:
amelkumjan
amelkumjan
01.02.2023
Пусть второй рабочий в час делает х деталей, тогда первый рабочий в час делает х+3 детали
Первый рабочий затрачивает на производство 112 деталей: 112/(х+3) часов,
тогда второй рабочий на производство 150 деталей затрачивает 150/х часов
Составим уравнение:
150/х-112/(х+3)=2
150/х-112/(х+3)-2=0
Общий знаменатель х(х+3), тогда
(150(х+3)-112х-2*х(х+3))/x(x+3)=0    ОДЗ х не равно 0 ; -3

Раскроим скобки и решим уравнение:
150х+450 -112х-2х²-6х=0 
32х-2х²+450=0 (умножим на -1)
2х²-32х-450=0 (сократим на 2)
х²-16х-225=0
Найдем дискриминант:
D=b²-4ac=(-16)²-4*1*(-225)=256+900=1156
х1=(-b+√D)/2*a=(-(-16)+√1156)/2*1=(16+34)/2=25
х2=(-b-√D)/2*a=(-(-16)-√1156)/2*1=(16-34)/2= - 9 < 0 - не подходит
ответ: Второй рабочий в час изготовляет 25 деталей.
4,6(33 оценок)
Это интересно:
Новые ответы от MOGZ: Алгебра
logo
Вход Регистрация
Что ты хочешь узнать?
Спроси Mozg
Открыть лучший ответ