Вход
Регистрация
Спроси Mozg AI
М
Молодежь
К
Компьютеры-и-электроника
Д
Дом-и-сад
С
Стиль-и-уход-за-собой
П
Праздники-и-традиции
Т
Транспорт
П
Путешествия
С
Семейная-жизнь
Ф
Философия-и-религия
Б
Без категории
М
Мир-работы
Х
Хобби-и-рукоделие
И
Искусство-и-развлечения
В
Взаимоотношения
З
Здоровье
К
Кулинария-и-гостеприимство
Ф
Финансы-и-бизнес
П
Питомцы-и-животные
О
Образование
О
Образование-и-коммуникации
.....больше.....
..меньше..
mmmmmmiiiiiinnn
17.07.2020 00:42 •
Алгебра
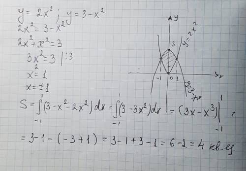
Вычислите площадь фигуры ограниченной линиями у=2х^2 у=3-х^2 желательно с чертежом
👇
Увидеть ответ
Ответ:
Neuch18
17.07.2020
Решение задания смотри на фотографии
4,4
(30 оценок)
Открыть все ответы
Ответ:
жандос29
17.07.2020
Первый Достроим ΔАВС до параллелограмма ABEC ⇒ AB = CE = CHAB || CE, CN⊥AB ⇒ CN⊥CE. Значит, ΔСЕН - прямоугольный и равнобедренный, ∠СЕН = ∠СНЕ = 45°четыр-ник ВЕСН - вписанный в окружность (∠НВЕ + ∠НСЕ = 180°) ⇒ ∠СЕН = ∠НВС = 45° - опираются на общую дугу СНВ ΔВСК: ∠СВК = 45° ⇒ ∠ВСК = ∠АСВ = 90° - 45° = 45° Второй В четыр-ке АNHK: ∠A = 180° - ∠NHK = ∠KHCВ ΔАВК: sin∠A = BK/AB ⇒ BK = AB•sin∠AB ΔKCH: sin∠KHC = KC/CH ⇒ KC = CH•sin∠KHCНо АВ = СН, sin∠A = sin∠KHC, значит, ВК = KC ⇒ ΔBСК - прямоугольный и равнобедренный, ∠СВК = ∠ВСК = ∠АСВ = 45°
4,6
(59 оценок)
Ответ:
aiiiotbahiiiot
17.07.2020
Первый Достроим ΔАВС до параллелограмма ABEC ⇒ AB = CE = CHAB || CE, CN⊥AB ⇒ CN⊥CE. Значит, ΔСЕН - прямоугольный и равнобедренный, ∠СЕН = ∠СНЕ = 45°четыр-ник ВЕСН - вписанный в окружность (∠НВЕ + ∠НСЕ = 180°) ⇒ ∠СЕН = ∠НВС = 45° - опираются на общую дугу СНВ ΔВСК: ∠СВК = 45° ⇒ ∠ВСК = ∠АСВ = 90° - 45° = 45° Второй В четыр-ке АNHK: ∠A = 180° - ∠NHK = ∠KHCВ ΔАВК: sin∠A = BK/AB ⇒ BK = AB•sin∠AB ΔKCH: sin∠KHC = KC/CH ⇒ KC = CH•sin∠KHCНо АВ = СН, sin∠A = sin∠KHC, значит, ВК = KC ⇒ ΔBСК - прямоугольный и равнобедренный, ∠СВК = ∠ВСК = ∠АСВ = 45°
4,8
(77 оценок)
Это интересно:
О
Образование-и-коммуникации
25.04.2021
Векторная кинематика: как рассчитать пройденное расстояние...
З
Здоровье
30.08.2021
Как вылечить герпес в домашних условиях: продукты, которые помогут держать болезнь под контролем...
С
Стиль-и-уход-за-собой
25.03.2020
Хипстерская борода: как вырастить и ухаживать...
С
Стиль-и-уход-за-собой
10.02.2023
Как приготовить натуральное средство от запаха ног...
Ф
Финансы-и-бизнес
23.03.2020
Как рассчитать годовой доход в процентах по банковскому сберегательному счету...
Ф
Философия-и-религия
26.02.2022
Как сделать цицит: открытие тайного рецепта...
П
Питомцы-и-животные
04.03.2020
Маисовый полоз: как ухаживать и предотвратить возникновение проблем...
18.02.2020
10 методов, которые помогут забыть плохое воспоминание...
И
Искусство-и-развлечения
31.12.2021
Секреты создания поддельного беременного живота...
Ф
Финансы-и-бизнес
04.06.2023
Как использовать дебетовую карту PayPal: подробная инструкция...
Новые ответы от MOGZ: Алгебра
вадимм2
30.01.2023
Представь (17x3y9)6 в виде произведения степеней....
helpme168
27.04.2022
сделать упражнение на сегодня фото я прикреплю я не понимаю как это делать....
6561813
29.04.2021
Закончите предложение разделительным во...
NAPAS228
09.09.2020
Одна сторона равна х, а другая равна 5 сантиметров. Выразить формулу зависимости площади прямоугольник S от х...
Viktoria12345678901
06.02.2023
X(x-2)+3(x-2) вынести общий множитель...
Белоеморе
28.12.2022
Вравнобедренном треугольнике боковая сторона в два раза больше основной, а периметр равен 20 см.найдите стороны треугольника....
DedPerdun
28.12.2022
Составьте квадратное уравнение, если известны их коэффиценты а=-3, b=5, c=0...
Buivid1
28.12.2022
Решите уравнения: 1)sinx=2/7. 2)cosx=3/2. 3)1+tg x/3=0. 4)2 cos²x+cosx-6=0. 5)sinx=2cosx....
AsunaUmi
31.05.2022
Номер 1 Найдите координаты точки пересечения прямых у=4х и у=2,5+1 Номер 2 Постройте график линейной функции (строить в ответе не обязательно ответьте на во у=2х-3...
maksimesaulav46
02.01.2020
((x+2y^2)(x-2y^2))^2-16y^8...
MOGZ ответил
Рассмотри картинку попробуй сочинить небылицу используя пользуясь...
Расставьте в фигуры цифры от 1 до 9 так, чтобы каждая цифра...
Продолжения сторон ab и cd трапеции abcd...
Бос торкөздерге оңға қарай оқысаң да, солға қарай оқысаң да...
Напишите про своего любимого рэпера на с lil pump .биография...
Формула метилпентилового эфира и этилпропионата...
Синтаксический разбор предложени кирила петрович, узнав о том,...
Которое не черным шрифтомр.s чертеж тоже нужно сделать...
Может ли считаться растение живым существом, почему? ...
Выполнить полный морфологический анализ всех имён прилагательных...
Полный доступ к MOGZ
Живи умнее Безлимитный доступ к MOGZ
Оформи подписку
О НАС
О нас
Блог
Условия пользования
Авторское право
Политика конфиденциальности
Предпочтения cookie-файлов
ПОМОЩЬ
Зарегистрируйся
Центр помощи
Центр безопасности
App
Вход
Регистрация
Что ты хочешь узнать?
Спроси Mozg
Открыть лучший ответ