М
Молодежь
К
Компьютеры-и-электроника
Д
Дом-и-сад
С
Стиль-и-уход-за-собой
П
Праздники-и-традиции
Т
Транспорт
П
Путешествия
С
Семейная-жизнь
Ф
Философия-и-религия
Б
Без категории
М
Мир-работы
Х
Хобби-и-рукоделие
И
Искусство-и-развлечения
В
Взаимоотношения
З
Здоровье
К
Кулинария-и-гостеприимство
Ф
Финансы-и-бизнес
П
Питомцы-и-животные
О
Образование
О
Образование-и-коммуникации
torimuse
torimuse
14.10.2020 23:59 •  Алгебра

Оцените значение выражения. если -27 < x < 64

👇
Ответ:
volck223
volck223
14.10.2020

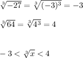
\sqrt[3]{-27} =\sqrt[3]{(-3)^{3}} =-3\\\\\sqrt[3]{64}=\sqrt[3]{4^{3}}=4\\\\\\-3

4,8(84 оценок)
Открыть все ответы
Ответ:
denchik83
denchik83
14.10.2020

ответ:

а) корни: y1=(5, 0) у2=(-10, 0)

б) х=9/2 или 4 1/2 или 4,5; корни: y1=(-6, 0) у2=(15, 0)

объяснение

а) y1=(x-5)^2 область определения x ∈ r

                минимум (5, 0)

                пересечение с осью координат (0, 25)

y2=(x+10)^5 область определения x ∈ r

                    пересечение с осью координат (0, 100000)

б) (x+6)^2=(15-x)^2

√(x+6)^2=√(15-x)^2

  |x+6| = |15-x|

    x+6 = 15-x                   x+6 = -(15-x)

    x+x+6 = 15                   x+6 = -15+x   → сокращаем иксы

    x+x = 15-6                     6 = -15

    2x = 9                           x ∈ ∅

    х=9/2

  y1=(x+6)^2 область определения x ∈ r

                минимум (-6, 0)

                пересечение с осью координат (0, 36)

y2=(15-х)^2 область определения x ∈ r

                    минимум (15, 0)

                    пересечение с осью координат (0, 225)

   

4,7(5 оценок)
Ответ:
aida110483
aida110483
14.10.2020
Формула сокращенного умножения (а+в)^2 выражение в квадрате, т.е. умножить само на себя два раза (а+в)^2=(а+b)*(a+b) умножить многочлен на многочлен, т.е. каждое слагаемое первого множителя умножаем на каждое слагаемое второго (а+в)^2=(а+b)*(a+b)=а*(a+b)+b*(a+b)= умножение одночлена на многочлен по распределительному закону (а+в)^2=(а+b)*(a+b)=а*(a+b)+b*(a+b)=a*a+a*b+a*b+b^2 приводим подобные слагаемые (а+в)^2=(а+b)*(a+b)=а*(a+b)+b*(a+b)=a*a+ a*b+a*b+b^2=a^2+2ab+b^2 (а+в)^2=a^2+2ab+b^2 -формула сокращенного умножения, запоминаем первое и последнее, пропуская выкладки
4,7(77 оценок)
Это интересно:
Новые ответы от MOGZ: Алгебра
logo
Вход Регистрация
Что ты хочешь узнать?
Спроси Mozg
Открыть лучший ответ