М
Молодежь
К
Компьютеры-и-электроника
Д
Дом-и-сад
С
Стиль-и-уход-за-собой
П
Праздники-и-традиции
Т
Транспорт
П
Путешествия
С
Семейная-жизнь
Ф
Философия-и-религия
Б
Без категории
М
Мир-работы
Х
Хобби-и-рукоделие
И
Искусство-и-развлечения
В
Взаимоотношения
З
Здоровье
К
Кулинария-и-гостеприимство
Ф
Финансы-и-бизнес
П
Питомцы-и-животные
О
Образование
О
Образование-и-коммуникации
yong345
yong345
01.08.2020 13:20 •  Алгебра

Решить сложения х+3 /(общая черта) 2 - у-2/ общая)3 =2, х-1 (общ)/4+у+1 (общ)/3=4

👇
Ответ:
watchdogs3
watchdogs3
01.08.2020
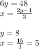
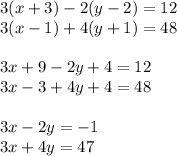
\frac{x + 3}{2} - \frac{y - 2}{3} = 2 \\ \frac{x - 1}{4} + \frac{y + 1}{3} = 4 \\
Первое уравнение домножим на 6, второе домножим на 12.

3(x + 3) - 2(y - 2) = 12 \\ 3(x - 1) + 4(y + 1) = 48 \\ \\ 3x + 9 - 2y + 4 = 12 \\ 3x - 3 + 4y + 4 = 48 \\ \\ 3x - 2y = - 1 \\ 3x + 4y = 47 \\
Из второго уравнения вычтем первое:
6y = 48 \\ x = \frac{2y - 1}{3} \\ \\ y = 8 \\ x = \frac{15}{3} = 5
ответ: (5; 8)
4,6(59 оценок)
Открыть все ответы
Ответ:
бабуся3
бабуся3
01.08.2020
сколько корней имеет уравнение (cos2x-cosx)/sinx=0 на промежутке 
[-2π;2π ]  ?

ОДЗ: sinx ≠ 0 .
x ≠ π*n , n ∈ Z . 
---
cos2x - cosx = 0  ;
2cos²x -cosx -1 =0 ; замена :   t = cosx
2t² - t  -1 =0 ;   D =1² -4*2( -1) = 1+8 =9 =3²
t₁ =(1+3)/4 =1 ⇒ cosx =1 ⇔ sinx = 0  не удовлетворяет  ОДЗ .
t₂ =(1-3)/4 = -1/2 ⇒ cosx = -1/2 .
x = ± 2π/3 +2π*k , k∈ Z . 

x₁ = 2π/3 +2π*k , k∈ Z . Из них два решения  на промежутке  [-2π;2π ] : - 4π/3  (если  k = -1 )  и  2π/3 (если  k =0 ) .
* * * - 2π ≤ 2π/3 +2π*k  ≤ 2π ⇔ -1 ≤ 1/3 +k  ≤ 1 ⇔ -1 - 1/3 ≤ k  ≤ 1 -1/3 ⇒
k = -1 ; 0  * * *
x₂ = -2π/3 +2π*k , k∈ Z .Из них два решения  на промежутке  [-2π;2π ] : 
 - 2π/3  (если  k = 0 )  и   4π/3 (если  k =1 ) .
* * * - 2π ≤  -2π/3 +2π*k  ≤ 2π ⇔ -1 ≤ -1/3 +k  ≤ 1 ⇔ -1 + 1/3 ≤ k  ≤ 1 +1/3 ⇒
k =  0 ; 1  * * *
ответ : 4 корней на промежутке  [-2π;2π ] .
* * * * * * * 
Другой решения :
(cos2x-cosx) / sinx = 0 ⇔(системе)  {cos2x - cosx = 0 ;  sinx ≠ 0 .  
* * * требование  sinx ≠ 0 определяет ОДЗ уравнения * * *
* * * cosα - cosβ = - 2sin(α - β)/2*sin(α + β)/2  * * *
cos2x - cosx = 0 ;
-2sin(x/2)*sin(3x/2) =0.    
a) x/2 =π*k , k ∈ Z ; 
x =2π*k , k ∈ Z .
b) 3x/2 =π*m , m ∈ Z 
---
x =2π*m/3  , m ∈ Z
Серия  решений  x =2π*k   входит  в   x =2π*m/3  , если m =3k  ∈ Z , т.е.
общее решение уравнения  cos2x - cosx= 0  является                                x =2π*m/3, m ∈ Z .
Из  них нужно исключить m=3n  
x₁ =2π*(3n+1)/3 =2π/3 +2π*n  ,  n ∈ Z .
x₂ =2π*(3n -1)/3 = -2π/3 +2π*n  ,  n ∈ Z .
4,6(27 оценок)
Ответ:
janeair6994
janeair6994
01.08.2020
Ширина окантовки  k см . 
Площадь картины с окантовкой (см. приложение) :
(16 + k + k)×(11 + k + k)  = 300  
( 16 + 2k )×( 11 + 2k) = 300
16 × 11 + 16×2k  + 2k×11 + 2k×2k  = 300
176 + 32k  + 22k   + 4k²  = 300
4k² + 54k  + 176  - 300  = 0
4k²  + 54k   - 124 = 0
2×(2k²  + 27k  - 62) = 0            |÷2
2k²  + 27k  - 62  = 0
D = 27² - 4×2×(-62) = 729 +496 = 1225 = 35²
D>0 - два корня уравнения
k₁ =  ( - 27  - 35)/(2×2) = -62/4 = - 15,5  - не удовлетворяет условию задачи, т.к. ширина - неотрицательная величина.
k₂ = ( - 27 + 35) / (2×2) = 8/4 = 2  (см)  ширина окантовки

ответ:  2 см.
Не получается  496....
Как в ; картинка имеет форму прямоугольника со сторонами 11 см и 16 см. её наклеили на белую бумагу
4,6(26 оценок)
Это интересно:
Новые ответы от MOGZ: Алгебра
logo
Вход Регистрация
Что ты хочешь узнать?
Спроси Mozg
Открыть лучший ответ