М
Молодежь
К
Компьютеры-и-электроника
Д
Дом-и-сад
С
Стиль-и-уход-за-собой
П
Праздники-и-традиции
Т
Транспорт
П
Путешествия
С
Семейная-жизнь
Ф
Философия-и-религия
Б
Без категории
М
Мир-работы
Х
Хобби-и-рукоделие
И
Искусство-и-развлечения
В
Взаимоотношения
З
Здоровье
К
Кулинария-и-гостеприимство
Ф
Финансы-и-бизнес
П
Питомцы-и-животные
О
Образование
О
Образование-и-коммуникации
lvalerika
lvalerika
28.01.2023 13:16 •  Алгебра

Сумма двух положительных чисел равна 160. найти эти числа, если сумма их кубов имеет наименьшее значение.

👇
Ответ:
маша3041
маша3041
28.01.2023
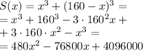
Пусть эти числа х и у
x + y = 160 \\ y = 160 - x
сумма их кубов

S(x) = {x}^{3} + (160 - x) ^{3} = \\ = {x}^{3} + 160 ^{3} - 3 \cdot 160 ^{2} {x} + \\ + 3 \cdot 160 \cdot {x}^{2} - {x}^{3} = \\ = 480 {x}^{2} - 76800x + 4096000
найдем наименьшее значение S(x)
S(x) парабола, ветви которой направлены вверх, значит приравняв нулю производную S(x) мы найдем х, при котором S(x) примет наименьшее значение.

для этого найдем производную и приравняем её нулю
S'(x) =480 \cdot 2 \cdot x - 76800 = \\ = 960x - 76800 = 0
откуда х=76800/960=80

у=160-х=80

ответ:
эти оба числа равны 80
4,8(56 оценок)
Открыть все ответы
Ответ:
komarenko
komarenko
28.01.2023
) В точках пересечения координаты функцмй одинаковы надо приравнять их:x^2 -1 =-x+1    x^2 + x -2 = 0   x = -1/2 =-V(1/4+2) = -1/2+-V(1/4 + 8/4) =-1/2 +-3/2x1 =1   x2 = -2   Подставив эти значения, получим у1 = 0     у2 = 3. 2) координаты точек пересечения графика функции y=x^2-3x с осью x имеют значения у = 0.x^2-3x = 0    х*(х -3) = 0   х1 = 0  х2 = 3. 3) координаты точек пересечения графика функции y=3x^2+5x-2 с осями координат: х =0у = 0     При х = 0    у = -2           у = 0    3x^2+5x-2 = 0   x = -5 +-V(5^2 +4*3*2) / 2*3 = -5 +-V(25 + 24) / 6                         x1 = 2/6 = 1/3       x2 =-2.
4,6(10 оценок)
Ответ:
овшаь
овшаь
28.01.2023

1) f(x) = x^2 - 6x + 5

D(f) = R

1) Знайдемо проміжки монотоності:

f`(x) = 2x - 6 = 2(x - 3)

f`(x) = 0

2(x - 3) = 0

x = 3

(дивись малюнок)

f(x) спадає якщо х ∈ (-∞; 3) і зростає якщо х ∈ (3; +∞)

2) знайдемо точки екстремума.

х(min) = 3 ⇒   y(min) = 3² - 6 * 3 +5 = 9 - 18 + 5 = -4

точки max не існеє.

 

 

2) f(x) = x^4 - 2x^2

D(f) = R

1) Знайдемо проміжки монотоності:

f`(x) = 4x³ - 4х = 4х(x² - 1) = 4х(х - 1)(х + 1)

f`(x) = 0

4х(х - 1)(х + 1) = 0

х = 0,  х = 1,  х = -1

(дивись малюнок)

f(x) спадає якщо х ∈ (-∞; -1) і (0; 1);

 зростає якщо х ∈ (-1; 0) і (1; +∞)

2) знайдемо точки екстремума.

х(min) = -1 ⇒   y(min) = (-1)⁴ - 2 * (-1)²  = 1 - 2 = -1

х(min) = 1 ⇒   y(min) = 1⁴ - 2 * 1²  = 1 - 2 = -1

 х(max) = 0 ⇒   y(max) = 0⁴ - 2 * 0²  = 0

 


 


11 клас визначте проміжки монотонності, точки екстремуму функції та значения функції в точках екстре
4,8(99 оценок)
Это интересно:
Новые ответы от MOGZ: Алгебра
logo
Вход Регистрация
Что ты хочешь узнать?
Спроси Mozg
Открыть лучший ответ