М
Молодежь
К
Компьютеры-и-электроника
Д
Дом-и-сад
С
Стиль-и-уход-за-собой
П
Праздники-и-традиции
Т
Транспорт
П
Путешествия
С
Семейная-жизнь
Ф
Философия-и-религия
Б
Без категории
М
Мир-работы
Х
Хобби-и-рукоделие
И
Искусство-и-развлечения
В
Взаимоотношения
З
Здоровье
К
Кулинария-и-гостеприимство
Ф
Финансы-и-бизнес
П
Питомцы-и-животные
О
Образование
О
Образование-и-коммуникации
мик271
мик271
16.01.2022 04:06 •  Алгебра

15 . решить матричное уравнение​

👇
Ответ:
Kolyan097
Kolyan097
16.01.2022

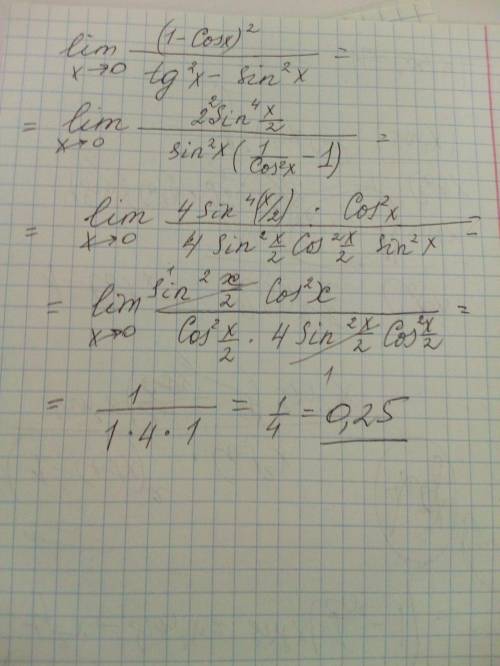
\displaystyle \lim_{x \to 0}\dfrac{(1-\cos x)^2}{{\rm tg}^2x-\sin^2x}=\lim_{x \to 0}\dfrac{(1-\cos x)^2\cos ^2x}{\sin^2x-\sin^2x\cos^2x}=\lim_{x \to 0}\dfrac{(1-\cos x)^2\cdot 1^2}{\sin^2x(1-\cos^2x)}=\\ \\ =\lim_{x \to 0}\dfrac{(1-\cos x)^2}{(1-\cos^2x)(1-\cos^2 x)}=\lim_{x \to 0}\dfrac{(1-\cos x)^2}{(1-\cos x)^2(1+\cos x)^2}=\\ \\ =\lim_{x \to 0}\dfrac{1}{(1+\cos x)^2}=\dfrac{1}{(1+1)^2}=\dfrac{1}{4}

4,7(23 оценок)
Ответ:
erfsdgfRyde
erfsdgfRyde
16.01.2022

ответ

и решение во вложении


15 . решить матричное уравнение​
4,5(33 оценок)
Открыть все ответы
Ответ:
Vvvpp
Vvvpp
16.01.2022
На рисунке 1 показана парабола  y=x²-4x-5
чтобы построить симметричную ей нужно знать за что отвечает каждый коэффициент 
a=1  ,    b= -4   ,  c= -5

1)Коэффициент а влияет на направление ветвей параболы
 а > 0 – ветви вверх
а < 0 – ветви  вниз
2)Коэффициент b влияет на расположение вершины параболы.
Если b = 0 - вершина лежит на оси Оу
Если b>0 - парабола в левой части
Если b<0 - парабола в правой части
3)Коэффициент с показывает точку пересечения с осью Оу

теперь анализируем нашу параболу
-ветви вверх
-вершина 2; -9
-пересечение с Оу 0; -5

Чтобы построить симметричную нужно 
сделать второй и третий коэффициент положительными
ответ : y=x²+4x+5
Напишите уравнение параболы, симметричной относительно начала координат другой параболе y=x²-4x-5;
Напишите уравнение параболы, симметричной относительно начала координат другой параболе y=x²-4x-5;
4,7(43 оценок)
Ответ:
alinka12152002
alinka12152002
16.01.2022
На рисунке 1 показана парабола  y=x²-4x-5
чтобы построить симметричную ей нужно знать за что отвечает каждый коэффициент 
a=1  ,    b= -4   ,  c= -5

1)Коэффициент а влияет на направление ветвей параболы
 а > 0 – ветви вверх
а < 0 – ветви  вниз
2)Коэффициент b влияет на расположение вершины параболы.
Если b = 0 - вершина лежит на оси Оу
Если b>0 - парабола в левой части
Если b<0 - парабола в правой части
3)Коэффициент с показывает точку пересечения с осью Оу

теперь анализируем нашу параболу
-ветви вверх
-вершина 2; -9
-пересечение с Оу 0; -5

Чтобы построить симметричную нужно 
сделать второй и третий коэффициент положительными
ответ : y=x²+4x+5
Напишите уравнение параболы, симметричной относительно начала координат другой параболе y=x²-4x-5;
Напишите уравнение параболы, симметричной относительно начала координат другой параболе y=x²-4x-5;
4,4(13 оценок)
Это интересно:
Новые ответы от MOGZ: Алгебра
logo
Вход Регистрация
Что ты хочешь узнать?
Спроси Mozg
Открыть лучший ответ