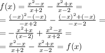
Есть правило нахождении предела отношения дробно-рациональной функции при х---> к бескон.Если многочлен в числителе имеет степень, равную степени многочлена в знаменателе, то предел равен отношению коэффициентов перед СТАРШИМИ степенями.Доказывается это с деления числителя и знаменателя на старшую степень и учёта того, что константа, делённая на бесконечно большую велмчину равна 0 (беск.малой величине). В 1 примере старшая степень числителя первая и коэффициент перед ней равен 1.В знаменателе старш.степень первая и старший коэффю=1.Поэтому предел равен 1:1=1. Если решать пример с деления на старш.степень, то получим:
Конечно, удобнее пользоваться готовым правилом.
Если степень многочлена в числителе меньше степени многочлена в знаменателе, то предел будет равен 0. Если степень многочлена в числ. больше степени мног. в знаменателе, то предел равен бесконечности. Например:
Чертим отрезок равный длине одной из сторон. в начало или конец отрезка устанавливаем циркуль и чертим окружность радиусом равным второй стороне. берём транспортир и устанавливаем его в центр окружности и отмеряем угол между исходным отрезком и второй стороной, ставим точку на окружности. соединяем отрезком центр окружности и точку на окружности. далее соединяем второй конец отрезка и точку на окружности. чертим отрезок равный одной из сторон, лучше выбрать большую сторону. в начало отрезка устанавливаем циркуль и радиусом, равным длине второй стороны, чертим окружность. на другом конце отрезка также устанавливаем циркуль и чертим окружность, но радиусом равным длине третьей стороны. получим точку пересечения окружностей. соединяем её с вершинами исходного отрезка и получаем заданный треугольник.
a) f(-x) =7cos(-4x)+3(-x)²=7cos4x+3x²=f(x); косинус четная функция!
b)