М
Молодежь
К
Компьютеры-и-электроника
Д
Дом-и-сад
С
Стиль-и-уход-за-собой
П
Праздники-и-традиции
Т
Транспорт
П
Путешествия
С
Семейная-жизнь
Ф
Философия-и-религия
Б
Без категории
М
Мир-работы
Х
Хобби-и-рукоделие
И
Искусство-и-развлечения
В
Взаимоотношения
З
Здоровье
К
Кулинария-и-гостеприимство
Ф
Финансы-и-бизнес
П
Питомцы-и-животные
О
Образование
О
Образование-и-коммуникации
rafik321
rafik321
04.01.2023 19:24 •  Алгебра

Среди арифметических двух чисел равно 4,4 а одно число равно 5 1/5 найдите второе число

👇
Ответ:
Dori48486
Dori48486
04.01.2023

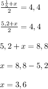
Обозначим второе число через x , тогда :

\frac{5\frac{1}{5}+x} {2}=4,4\\\\\frac{5,2+x}{2}=4,4\\\\5,2+x=8,8\\\\x=8,8-5,2\\\\x=3,6

ответ : 3,6

4,4(84 оценок)
Ответ:
берта2904
берта2904
04.01.2023

Одно число равно 5¹/₅=5,2

Аср=4,4    ⇒

∑=4,4*2=8,8.

Второе число равно 8,8-5,2=3,6.

ответ: 3,6.

4,6(59 оценок)
Открыть все ответы
Ответ:
mashashhukina
mashashhukina
04.01.2023
Пусть расстояние между А и В (s) км,
скорость1 первого (х) км/час --ее нужно найти,
скорость2 (2х/3) км/час --она в 3/2 раза меньше скорости1,
скорость3 ((2х/3)-6) км/час --она на 6 км/час меньше скорости2
время в пути первого: (s/х) час
время в пути второго: (s/(2х/3))=(3s)/(2x) час
время в пути третьего: (s)/((2х/3)-6)=(3s)/(2x-18) час
10 минут = (1/6) часа
15 минут = (1/4) часа
получим систему уравнений:
3s/(2х) = (s/х) + (1/6) второй приехал позже --> время больше
3s/(2х-18) = 3s/(2х) + (1/4) третий приехал позже второго

3s/(2х) = (6s+х)/(6x)
3s/(2х-18) = (6s+х)/(4x) 

9sх = x(6s+х) 
6sх = (x-9)(6s+х) 

3sx = x²
54s+9x = x²

9x = (3x-54)s ---> s = 3x/(x-18)
x² = 3x * 3x/(x-18)
x-18 = 9
x = 27 (км/час) скорость первого велосипедиста
s = 3*27/9 = 9 (км)

ПРОВЕРКА:
скорость второго велосипедиста: 27:1.5 = 27*2/3 = 18 км/час
его (второго) время в пути: 9:18 = 1/2 часа = 30 минут
скорость третьего велосипедиста: 18-6 = 12 км/час
его (третьего) время в пути: 9:12 = 3/4 часа = 45 минут
время первого велосипедиста в пути: 9:27 = 1/3 часа = 20 минут
второй приехал на 30-20=10 минут позже первого)))
второй приехал на 30-45=-15 минут раньше третьего))) 
4,4(4 оценок)
Ответ:
polosa48rus
polosa48rus
04.01.2023
Определение: Квадратным уравнением называется уравнение вида ax²+bx+c,где x - переменная, a, b, c - постоянные (числовые) коэффициенты. 

В общем случае решение квадратных уравнений сводится к нахождению дискриминанта (математики ввели себе такой термин для упрощения решения квадратных уравнений). По мимо этого, корни можно найти по теореме Виета, но вот доказать, имеет ли уравнение корни или нет по ней, к сожалению, нельзя.

Формула дискриминанта: D=b²-4ac,
откуда a,b, с - это коэффициенты из уравнения.

Если D>0 (положительный), то уравнение имеет два корня.
Если D=0, то один корень.
Если D<0 (отрицательный), то уравнение корней не имеет.

Поэтому всё задание сводится к нахождению дискриминанта:

x²-10x+27=0

a=1 (если возле переменной не стоит никакое число (например, 2, 3, -10 и т.д.), то подразумевается, что там спряталась единица)
b=-10
c=27

Подставим эти коэффициенты в формулу дискриминанта. 
D=(-10)²-4×27×1=100-108=-8 (число -8 отрицательное, поэтому уравнение корней не имеет)

x²+x+1=0
a=1, b=1, c=1
D=b²-4ac=1²-4×1×1=1-4=-3 (-3 отрицательное число, поэтому уравнение корней не имеет)
4,5(32 оценок)
Это интересно:
Новые ответы от MOGZ: Алгебра
logo
Вход Регистрация
Что ты хочешь узнать?
Спроси Mozg
Открыть лучший ответ