М
Молодежь
К
Компьютеры-и-электроника
Д
Дом-и-сад
С
Стиль-и-уход-за-собой
П
Праздники-и-традиции
Т
Транспорт
П
Путешествия
С
Семейная-жизнь
Ф
Философия-и-религия
Б
Без категории
М
Мир-работы
Х
Хобби-и-рукоделие
И
Искусство-и-развлечения
В
Взаимоотношения
З
Здоровье
К
Кулинария-и-гостеприимство
Ф
Финансы-и-бизнес
П
Питомцы-и-животные
О
Образование
О
Образование-и-коммуникации
Александрик397
Александрик397
20.12.2022 13:15 •  Алгебра

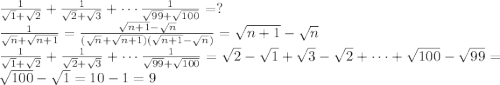
Вычислить 1/корень1+корень2 +1/корень2+корен.3++1/корень99+корень100

👇
Ответ:
апепе1
апепе1
20.12.2022

\frac{1}{\sqrt{1} + \sqrt{2}} + \frac{1}{\sqrt{2} + \sqrt{3}} + \cdots \frac{1}{\sqrt{99} + \sqrt{100}} = ?\\\frac{1}{\sqrt{n} + \sqrt{n + 1}} = \frac{\sqrt{n + 1} - \sqrt{n}}{(\sqrt{n} + \sqrt{n + 1})(\sqrt{n + 1} - \sqrt{n})} = \sqrt{n + 1} - \sqrt{n}\\\frac{1}{\sqrt{1} + \sqrt{2}} + \frac{1}{\sqrt{2} + \sqrt{3}} + \cdots \frac{1}{\sqrt{99} + \sqrt{100}} = \sqrt{2} - \sqrt{1} + \sqrt{3} - \sqrt{2} + \cdots + \sqrt{100} - \sqrt{99} = \sqrt{100} - \sqrt{1} = 10 - 1 = 9

4,8(70 оценок)
Открыть все ответы
Ответ:
mrmrheik
mrmrheik
20.12.2022
y= \dfrac{2.5|x|-1}{|x|-2.5x^2} = \dfrac{2.5|x|-1}{-|x|(2.5|x|-1)}=- \dfrac{1}{|x|}

Строим гиперболу y=-\dfrac{1}{x} и затем верхнюю часть графика отобразить в нижнюю(отрицательную часть)

Область определения: \displaystyle \left \{ {{|x|\ne0} \atop {2.5|x|-1\ne0}} \right. ~~~\Rightarrow~~~~ \left \{ {{x\ne 0} \atop {x\ne \pm0.4}} \right.

Подставим у=кх в упрощенную функцию.

kx=- \dfrac{1}{|x|}              (*)

Очевидно, что при k=0 уравнение   (*) решений не будет иметь.

1) Если x>0, то kx^2=-1 и это уравнение решений не имеет при k>0(так как левая часть всегда положительно).

2) Если x<0, то kx^2=1 и при k<0 это уравнение решений не имеет.

Если объединить 1) и 2) случаи, то уравнение будет иметь хотя бы один корень.

Подставим теперь x=\pm0.4, имеем

k\cdot (-0.4)=- \dfrac{1}{0.4} \\ \\ k=6.25                                         k\cdot 0.4=- \dfrac{1}{0.4} \\ \\ k=-6.25

Итак, при k=0 и k=±6.25 графики не будут иметь общих точек

Постройте график функции у=2,5|х|-1/|х|-2,5х^2 и определитель,при каких значениях k прямая у=kx не и
4,4(8 оценок)
Ответ:
sofia2004417
sofia2004417
20.12.2022
Решение:
Обозначим зарплату мамы за (х) руб, папы за (у) руб, пенсию бабушки за (z) руб, месячный доход семьи за D (руб), тогда:
х+у+z=D  (1)
Согласно условия задачи,если при повышении в следующем году зарплаты маме на 20%, месячный доход семьи увеличится на 6% или
(х+20%*:100%)+у+z=D+6%*D:100%
(х+0,2х)+у+z=D+0,06D
1,2x+y+z=1,06D  (2)
При повышении зарплаты папе на 20%, месячный доход увеличится на 10% или:
х+(у+20%*у:100%)+z=D+10%*D:100%
x+(y+0,2y)+z=D+0,1D
x+1,2y+z=1,1D   (3)
При повышении пенсии бабушке на 20%, месячный доход увеличится на 3200 руб или:
х+у+(z+20%*z:100%)=D+3200
x+y+(z+0,2z)=D+3200
x+y+1,2z=D+3200  (4)
Из четвёртого  уравнения вычтем первое уравнение:
x+y+1,2z-x-y-z=D+3200-D
0,2z=3200
z=3200 : 0,2
z=16000 (руб-пенсия бабушки)

Подставим значение (z) равное 16000 в первое, второе и третье уравнения, получим:
х+у+16000=D   (1)
1,2х+у+16000=1,06D  (2)
x+1,2y+16000=1,1D    (3)
Из второго уравнения вычтем первое уравнение:
1,2х+у+16000-х-у-16000=1,06D-D
0,2x=0,06D
x=0,06D : 0,2
х=0,3D
Из третьего уравнения вычтем первое уравнение:
х+1,2у+16000-х-у-16000=1,1D-D
0,2y=0,1D
y=0,1D : 0,2
у=0,5D
Подставим найденные значения (х) и (у) в первое уравнение:
0,3D+0,5D+16000=D
0,3D+0,5D-D=-16000
-0,2D=-16000
D=-16000 : -0,2
D=80000 (руб) -месячный доход семьи

ответ: Месячный доход семьи составляет 80000руб.
4,4(53 оценок)
Это интересно:
Новые ответы от MOGZ: Алгебра
logo
Вход Регистрация
Что ты хочешь узнать?
Спроси Mozg
Открыть лучший ответ