М
Молодежь
К
Компьютеры-и-электроника
Д
Дом-и-сад
С
Стиль-и-уход-за-собой
П
Праздники-и-традиции
Т
Транспорт
П
Путешествия
С
Семейная-жизнь
Ф
Философия-и-религия
Б
Без категории
М
Мир-работы
Х
Хобби-и-рукоделие
И
Искусство-и-развлечения
В
Взаимоотношения
З
Здоровье
К
Кулинария-и-гостеприимство
Ф
Финансы-и-бизнес
П
Питомцы-и-животные
О
Образование
О
Образование-и-коммуникации
6edn9ga
6edn9ga
05.08.2022 21:57 •  Алгебра

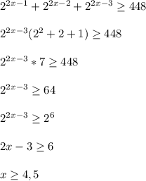
2²ˣ⁻¹ +2²ˣ⁻² + 2²ˣ⁻³ ≥ 448 с решением.

👇
Ответ:
kseniiazueva93
kseniiazueva93
05.08.2022

2^{2x-1}+2^{2x-2}+2^{2x-3}\geqslant448\\ 2^{2x}\left(2^{-1}+2^{-2}+2^{-3}\right)\geqslant448~~|\cdot 2^3\\ 2^{2x}\left(2^2+2+1\right)\geqslant448\cdot8\\ 7\cdot 2^{2x}\geqslant448\cdot 8~~|:7\\ 2^{2x}\geqslant64\cdot8\\ 2^{2x}\geqslant2^6\cdot 2^3\\ 2^{2x}\geqslant2^{9}\\ 2x\geqslant9\\ x\geqslant4.5

4,5(13 оценок)
Ответ:
niktoto
niktoto
05.08.2022

2^{2x-1} +2^{2x-2}+2^{2x-3}\geq448\\\\2^{2x-3}(2^{2}+2+1)\geq448\\\\2^{2x-3}*7\geq448\\\\2^{2x-3}\geq 64\\\\2^{2x-3}\geq2^{6} \\\\2x-3\geq6\\\\x\geq 4,5

ответ : x ∈ [4,5 ; + ∞)

4,5(58 оценок)
Открыть все ответы
Ответ:
duwie
duwie
05.08.2022
F(x)=x²
Квадратичная парабола, коэффициент при х², f(x)=ax², a=1, значит верщина графика нахрдится в точке начала координат, а ветви направлены вверх, т.к. a>0/
При возрастрании функции, большему значению аргумента х, соответсвует большее значение функции(у): х₂>x₁ => y₂>y₁/
При убывании функции, большему значению аргумента, соответствует меньшее значение функции(у): x₂>x₁ => y₂<y₁)
    На промежутке (-∞;0] функция убывает
     На промежутке [0;+∞) функция возрастает
График во вложении
Постройте график функции y=x^2. возрастает или убывает эта функция на промежутке: a) (-œ; 0] б) [0;
4,4(87 оценок)
Ответ:
Абзал111111
Абзал111111
05.08.2022
У нас есть три числа, которые могут подойди: -2, 2 и 3.
Проверим каждое из них.
1) Число a = -2. Подставим его в уравнение:
x^2 - ((-2)^2-5*(-2))x+5*(-2) -1 = 0
Преобразуем его:
x^2 -(4+10)x +-10 -1 = 0
x^2 -6x + 9=0
По теореме Виета x1 + x2 =-b ( это число перед x). В данном случае у нас получается -(-6) = 6. Следовательно а= -2 не подходит.
2) Число а =2.
x^2 -(2^2 -5*2)x +5*2 -1 = 0
x^2 -(4-10)x + 10 - 1 = 0
x^2 +6x +9 = 0
Проверим это уравнение на корни.
x1+x2=-b
x1+x2=-6.
Число а = 2 подходит.
3) Число а = 3.
x^2 - (3^2 -5*3)x+5*3-1=0
x^2 -(6-15)x+ 15 - 1 = 0
x^2 + 9x + 14 = 0
x1+x2=-b
x1+x2=-9.
Число а = 3 не подходит.
Значит ответом к данному заданию является ответ под номером 2)а=2.
4,8(76 оценок)
Это интересно:
Новые ответы от MOGZ: Алгебра
logo
Вход Регистрация
Что ты хочешь узнать?
Спроси Mozg
Открыть лучший ответ