
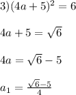
Задание 1.
f(x)=x²-4x+2.
f(3)= 3²-4×3+2;
f(3)= 9-12+2;
f(3)= -1.
ОТВЕТ: f(3)= -1.
Задание 2.
y= x²+6x-2.
Точка А (3;23)
Подставляем в функцию значения абсциссы и ординаты точки А и проверяем равенство.
23= 3²+6×3-2;
23=9+18-2;
23=25
23 не равно 25, значит, график данной функции не проходит через точку А.
ОТВЕТ: не проходит.
Задание 3.
у= х²-8х+7.
Нужно найти координаты вершины.
Хв -?, Yв -?
Хв= -b/2a= 8/2=4
Yв= 4²-8×4+7=16-32+7= -9
Вершина параболы имеет координаты (4; -9).
ОТВЕТ: (4; -9).
Задание 4.
у = х² + 5х + 6;
Чтобы найти, в какой точке график данной функции пересекается с осью ординат ОY, нужно вместо "х" поставить 0 и решить уравнение.
у= 0+0+6;
у=6.
Координаты искомой точки — (0;6).
ОТВЕТ: (0;6).
МЫ КОМАНДА ДАЛБАЕБОВ ИЗ ОТ ОТРЯДЯ 22 МЫ КОМАНДА ДАЛБАЕБОВ ИЗ ОТ ОТРЯДЯ 22 МЫ КОМАНДА ДАЛБАЕБОВ ИЗ ОТ ОТРЯДЯ 22МЫ КОМАНДА ДАЛБАЕБОВ ИЗ ОТ ОТРЯДЯ 22 МЫ КОМАНДА ДАЛБАЕБОВ ИЗ ОТ ОТРЯДЯ 22 МЫ КОМАНДА ДАЛБАЕБОВ ИЗ ОТ ОТРЯДЯ 22МЫ КОМАНДА ДАЛБАЕБОВ ИЗ ОТ ОТРЯДЯ 22 МЫ КОМАНДА ДАЛБАЕБОВ ИЗ ОТ ОТРЯДЯ 22 МЫ КОМАНДА ДАЛБАЕБОВ ИЗ ОТ ОТРЯДЯ 22МЫ КОМАНДА ДАЛБАЕБОВ ИЗ ОТ ОТРЯДЯ 22 МЫ КОМАНДА ДАЛБАЕБОВ ИЗ ОТ ОТРЯДЯ 22 МЫ КОМАНДА ДАЛБАЕБОВ ИЗ ОТ ОТРЯДЯ 22МЫ КОМАНДА ДАЛБАЕБОВ ИЗ ОТ ОТРЯДЯ 22 МЫ КОМАНДА ДАЛБАЕБОВ ИЗ ОТ ОТРЯДЯ 22 МЫ КОМАНДА ДАЛБАЕБОВ ИЗ ОТ ОТРЯДЯ 22МЫ КОМАНДА ДАЛБАЕБОВ ИЗ ОТ ОТРЯДЯ 22 МЫ КОМАНДА ДАЛБАЕБОВ ИЗ ОТ ОТРЯДЯ 22 МЫ КОМАНДА ДАЛБАЕБОВ ИЗ ОТ ОТРЯДЯ 22МЫ КОМАНДА ДАЛБАЕБОВ ИЗ ОТ ОТРЯДЯ 22 МЫ КОМАНДА ДАЛБАЕБОВ ИЗ ОТ ОТРЯДЯ 22 МЫ КОМАНДА ДАЛБАЕБОВ ИЗ ОТ ОТРЯДЯ 22МЫ КОМАНДА ДАЛБАЕБОВ ИЗ ОТ ОТРЯДЯ 22 МЫ КОМАНДА ДАЛБАЕБОВ ИЗ ОТ ОТРЯДЯ 22 МЫ КОМАНДА ДАЛБАЕБОВ ИЗ ОТ ОТРЯДЯ 22МЫ КОМАНДА ДАЛБАЕБОВ ИЗ ОТ ОТРЯДЯ 22 МЫ КОМАНДА ДАЛБАЕБОВ ИЗ ОТ ОТРЯДЯ 22 МЫ КОМАНДА ДАЛБАЕБОВ ИЗ ОТ ОТРЯДЯ 22МЫ КОМАНДА ДАЛБАЕБОВ ИЗ ОТ ОТРЯДЯ 22 МЫ КОМАНДА ДАЛБАЕБОВ ИЗ ОТ ОТРЯДЯ 22 МЫ КОМАНДА ДАЛБАЕБОВ ИЗ ОТ ОТРЯДЯ 22МЫ КОМАНДА ДАЛБАЕБОВ ИЗ ОТ ОТРЯДЯ 22 МЫ КОМАНДА ДАЛБАЕБОВ ИЗ ОТ ОТРЯДЯ 22 МЫ КОМАНДА ДАЛБАЕБОВ ИЗ ОТ ОТРЯДЯ 22МЫ КОМАНДА ДАЛБАЕБОВ ИЗ ОТ ОТРЯДЯ 22 МЫ КОМАНДА ДАЛБАЕБОВ ИЗ ОТ ОТРЯДЯ 22 МЫ КОМАНДА ДАЛБАЕБОВ ИЗ ОТ ОТРЯДЯ 22МЫ КОМАНДА ДАЛБАЕБОВ ИЗ ОТ ОТРЯДЯ 22 МЫ КОМАНДА ДАЛБАЕБОВ ИЗ ОТ ОТРЯДЯ 22 МЫ КОМАНДА ДАЛБАЕБОВ ИЗ ОТ ОТРЯДЯ 22МЫ КОМАНДА ДАЛБАЕБОВ ИЗ ОТ ОТРЯДЯ 22 МЫ КОМАНДА ДАЛБАЕБОВ ИЗ ОТ ОТРЯДЯ 22 МЫ КОМАНДА ДАЛБАЕБОВ ИЗ ОТ ОТРЯДЯ 22МЫ КОМАНДА ДАЛБАЕБОВ ИЗ ОТ ОТРЯДЯ 22 МЫ КОМАНДА ДАЛБАЕБОВ ИЗ ОТ ОТРЯДЯ 22 МЫ КОМАНДА ДАЛБАЕБОВ ИЗ ОТ ОТРЯДЯ 22МЫ КОМАНДА ДАЛБАЕБОВ ИЗ ОТ ОТРЯДЯ 22 МЫ КОМАНДА ДАЛБАЕБОВ ИЗ ОТ ОТРЯДЯ 22 МЫ КОМАНДА ДАЛБАЕБОВ ИЗ ОТ ОТРЯДЯ 22МЫ КОМАНДА ДАЛБАЕБОВ ИЗ ОТ ОТРЯДЯ 22 МЫ КОМАНДА ДАЛБАЕБОВ ИЗ ОТ ОТРЯДЯ 22 МЫ КОМАНДА ДАЛБАЕБОВ ИЗ ОТ ОТРЯДЯ 22
или
Или