М
Молодежь
К
Компьютеры-и-электроника
Д
Дом-и-сад
С
Стиль-и-уход-за-собой
П
Праздники-и-традиции
Т
Транспорт
П
Путешествия
С
Семейная-жизнь
Ф
Философия-и-религия
Б
Без категории
М
Мир-работы
Х
Хобби-и-рукоделие
И
Искусство-и-развлечения
В
Взаимоотношения
З
Здоровье
К
Кулинария-и-гостеприимство
Ф
Финансы-и-бизнес
П
Питомцы-и-животные
О
Образование
О
Образование-и-коммуникации
антон778
антон778
01.12.2021 09:29 •  Алгебра

За якого значення a система рівнянь x^2 + y^2 = 4; x-y = a має єдиний розв'язок?

👇
Ответ:
Masha1211111111
Masha1211111111
01.12.2021

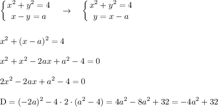
\displaystyle \left \{ {{x^2+y^2=4} \atop {x-y=a}} \right. \quad \rightarrow\quad \left \{ {{x^2+y^2=4} \atop {y=x-a}} \right.\\\\\\x^2+(x-a)^2=4\\\\x^2+x^2-2ax+a^2-4=0\\\\2x^2-2ax+a^2-4=0\\\\\text{D}=(-2a)^2-4\cdot2\cdot(a^2-4)=4a^2-8a^2+32=-4a^2+32

Чтобы система имела всего 1 корень, дискриминант должен быть равен 0.

-4a^2+32=0\\\\4a^2=32\\\\a^2=8\\\\a=\pm\sqrt{8}=\boxed{\pm2\sqrt{2}}

4,8(36 оценок)
Открыть все ответы
Ответ:
Calleron
Calleron
01.12.2021

и так:В этом отношении полноте представления не и длинное рассуждение о том, как учить пастырю, встречаемое в третьей части, — не потому, что оно, не рисуя цельного образа проповедника, подробно анализирует одну частную мысль: как применяться к слушателям проповеднику и, применяясь, разнообразить одно и то же учение, то есть как учить мужчин, как женщин, как юношей, как старцев, как бедных, как богатых и так далее.В этом отношении полноте представления не и длинное рассуждение о том, как учить пастырю, встречаемое в третьей части, — не потому, что оно, не рисуя цельного образа проповедника, подробно анализирует одну частную мысль: как применяться к слушателям проповеднику и, применяясь, разнообразить одно и то же учение, то есть как учить мужчин, как женщин, как юношей, как старцев, как бедных, как богатых и так далее.В этом отношении полноте представления не и длинное рассуждение о том, как учить пастырю, встречаемое в третьей части, — не потому, что оно, не рисуя цельного образа проповедника, подробно анализирует одну частную мысль: как применяться к слушателям проповеднику и, применяясь, разнообразить одно и то же учение, то есть как учить мужчин, как женщин, как юношей, как старцев, как бедных, как богатых и так далее.В этом отношении полноте представления не и длинное рассуждение о том, как учить пастырю, встречаемое в третьей части, — не потому, что оно, не рисуя цельного образа проповедника, подробно анализирует одну частную мысль: как применяться к слушателям проповеднику и, применяясь, разнообразить одно и то же учение, то есть как учить мужчин, как женщин, как юношей, как старцев, как бедных, как богатых и так далее.В этом отношении полноте представления не и длинное рассуждение о том, как учить пастырю, встречаемое в третьей части, — не потому, что оно, не рисуя цельного образа проповедника, подробно анализирует одну частную мысль: как применяться к слушателям проповеднику и, применяясь, разнообразить одно и то же учение, то есть как учить мужчин, как женщин, как юношей, как старцев, как бедных, как богатых и так далее.В этом отношении полноте представления не и длинное рассуждение о том, как учить пастырю, встречаемое в третьей части, — не потому, что оно, не рисуя цельного образа проповедника, подробно анализирует одну частную мысль: как применяться к слушателям проповеднику и, применяясь, разнообразить одно и то же учение, то есть как учить мужчин, как женщин, как юношей, как старцев, как бедных, как богатых и так далее.В этом отношении полноте представления не и длинное рассуждение о том, как учить пастырю, встречаемое в третьей части, — не потому, что оно, не рисуя цельного образа проповедника, подробно анализирует одну частную мысль: как применяться к слушателям проповеднику и, применяясь, разнообразить одно и то же учение, то есть как учить мужчин, как женщин, как юношей, как старцев, как бедных, как богатых и так далее.В этом отношении полноте представления не и длинное рассуждение о том, как учить пастырю, встречаемое в третьей части, — не потому, что оно, не рисуя цельного образа проповедника, подробно анализирует одну частную мысль: как применяться к слушателям проповеднику и, применяясь, разнообразить одно и то же учение, то есть как учить мужчин, как женщин, как юношей, как старцев, как бедных, как богатых и так далее.

4,6(50 оценок)
Ответ:
fifa48
fifa48
01.12.2021

да х_р тебе в рот личинка

Объяснение:

п_дуй от сюда н_уй это го*но-сайтответ:

да х_р тебе в рот личинка

Объяснение:

п_дуй от сюда н_уй это го*но-сайтответ:

да х_р тебе в рот личинка

Объяснение:

п_дуй от сюда н_уй это го*но-сайтответ:

да х_р тебе в рот личинка

Объяснение:

п_дуй от сюда н_уй это го*но-сайтответ:

да х_р тебе в рот личинка

Объяснение:

п_дуй от сюда н_уй это го*но-сайтответ:

да х_р тебе в рот личинка

Объяснение:

п_дуй от сюда н_уй это го*но-сайтответ:

да х_р тебе в рот личинка

Объяснение:

п_дуй от сюда н_уй это го*но-сайт

4,8(100 оценок)
Это интересно:
Новые ответы от MOGZ: Алгебра
logo
Вход Регистрация
Что ты хочешь узнать?
Спроси Mozg
Открыть лучший ответ