М
Молодежь
К
Компьютеры-и-электроника
Д
Дом-и-сад
С
Стиль-и-уход-за-собой
П
Праздники-и-традиции
Т
Транспорт
П
Путешествия
С
Семейная-жизнь
Ф
Философия-и-религия
Б
Без категории
М
Мир-работы
Х
Хобби-и-рукоделие
И
Искусство-и-развлечения
В
Взаимоотношения
З
Здоровье
К
Кулинария-и-гостеприимство
Ф
Финансы-и-бизнес
П
Питомцы-и-животные
О
Образование
О
Образование-и-коммуникации
egormixajlov1
egormixajlov1
19.01.2022 22:38 •  Биология

4. родители имеют i и iv группы крови. какие группы крови следует ожидать у потомства?

👇
Ответ:
Anastasya156
Anastasya156
19.01.2022
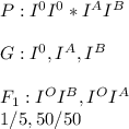
P:I ^{0} I ^{0} *I ^{A} I ^{B} \\\\G:I ^{0} ,I ^{A}, I ^{B}\\ \\ F _{1} :I ^{O} I ^{B},I ^{O} I ^{A} \\ 1/5,50/50
Могут быть 2 или 3 группа крови 
4,6(85 оценок)
Ответ:
KceniaZyikova
KceniaZyikova
19.01.2022
На 50% вероятно, что 2 группа, на 50% 3 группа.
4,6(98 оценок)
Открыть все ответы
Ответ:
zvezdoska
zvezdoska
19.01.2022
К малым тер-ям можно смело приводить эндемиков, таких как: коала, эму, казуар, дикая собака динго, кенгуру, обитающие в Австралии.
Лемуры -о. Мадагаскар. Мустанги (прерии США). Байкальская нерпа.
Эвкалипт и Бутылочное дерево (Австралия). Секвойя (США)
А также растения и животные, например, Вьюрки Галапагосских островов. Некоторые обитатели коралловых рифов.

К большим тер-ям. Голуби, Вороны, Олени, Рептилии, Бабочки... посмотри карты ареалов обитания. 
Клен американский и канадский, одуванчик, береза, дуб, хвойные растения.
4,6(28 оценок)
Ответ:
korablevabella
korablevabella
19.01.2022
Потому что изоляция (географическая или физиологическая) препятствует свободному скрещиванию особей и обособлению популяций вида. Из разобщённых популяций с течением времени получается подвид. а затем и вид. Например, если между двумя популяциями серой полёвки течёт ручей (географическая изоляция), то велика вероятность. что через пару миллионов лет возникнут ДВА вида полёвки. Или, поскольку сильно отличающиеся по размеру породы собак (сенбернар и болонка) не могут давать потомство (физиологическая изоляция), со временем они могут дать РАЗНЫЕ виды (сейчас ещё один, собака домашняя, Canis familiaris).
Дивергенция — расхождение признаков в дочерних таксонах в процессе эволюции. Наппример: пятипалая конечность первопредка млекопитающих дивергировала у разных отрядов в ласт (киты, тюлени), крыло (летучие мыши), бегательную конечность (копытные) и т.д.
4,5(27 оценок)
Новые ответы от MOGZ: Биология

MOGZ ответил

Полный доступ к MOGZ
Живи умнее Безлимитный доступ к MOGZ Оформи подписку
logo
Вход Регистрация
Что ты хочешь узнать?
Спроси Mozg
Открыть лучший ответ