М
Молодежь
К
Компьютеры-и-электроника
Д
Дом-и-сад
С
Стиль-и-уход-за-собой
П
Праздники-и-традиции
Т
Транспорт
П
Путешествия
С
Семейная-жизнь
Ф
Философия-и-религия
Б
Без категории
М
Мир-работы
Х
Хобби-и-рукоделие
И
Искусство-и-развлечения
В
Взаимоотношения
З
Здоровье
К
Кулинария-и-гостеприимство
Ф
Финансы-и-бизнес
П
Питомцы-и-животные
О
Образование
О
Образование-и-коммуникации

Почему сказка понравилась детям? Что говорил Лев Толстой? Найдите и подчеркните ответы. Сергеенко. Как Л.Н. Толстой рассказывал сказку об огурцах

👇
Ответ:
ilyamam07
ilyamam07
18.05.2023
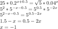
25*0.2^{x+0.5}=\sqrt{5}*0.04^x\\
5^2*5^{-x-0.5}=5^{0.5}*5^{-2x}\\
5^{2-x-0.5}=5^{0.5-2x}\\
 1.5-x=0.5-2x\\
 x=-1
4,5(29 оценок)
Открыть все ответы
Ответ:
nataliarianna29
nataliarianna29
18.05.2023

Для оценки материальных потерь в шахматах используется стоимость каждой фигуры в наиболее слабых фигурах - пешках. Обычно считается, что конь или слон равны 3 пешкам, ладья - 5, ферзь - 9 или 10. Когда стали создавать шахматные программы, для них понадобилось оценивать не только материал, но и позицию. Это уже более тонкая вещь, поэтому позиционное преимущество обычно составляет доли пешки и в программах округляется до сотых. Как конкретно оцениваются разные характеристики позиции (это может быть например количество пешечных островков, дальнобойные фигуры на открытых линиях или ещё что-нибудь) зависит от программы.

В целом естественно вы хотите не терять сантипешки, а выигрывать их. Хорошая позиция вполне может постепенно вырасти до выигрыша полноценного материала.

4,7(18 оценок)
Ответ:
alanka280606
alanka280606
18.05.2023

ниже:^

писала я сама:)

Объяснение:

родители остерегают нас от пожаров, от потопов, от незнакомых людей и от опасности в столкновении с ними. но к сожалению, многие дети и подростки не слушаются советов своих предков и попадают в разные довольно трудные ситуации. вот например, когда нам говорят не зажигать спички одним-нас остерегают от пожара, когда нам говорят выключать воду при выходе из дома-нас остерегают от потопа, когда нам говорят не открывать дверь незнакомым людям, или не подходить к ним на улице-нас остереагют от лишнего контакта с незнакомцами, ибо не знают чем плохим это может закончиться.

4,7(69 оценок)
Это интересно:
Новые ответы от MOGZ: Другие предметы
logo
Вход Регистрация
Что ты хочешь узнать?
Спроси Mozg
Открыть лучший ответ