М
Молодежь
К
Компьютеры-и-электроника
Д
Дом-и-сад
С
Стиль-и-уход-за-собой
П
Праздники-и-традиции
Т
Транспорт
П
Путешествия
С
Семейная-жизнь
Ф
Философия-и-религия
Б
Без категории
М
Мир-работы
Х
Хобби-и-рукоделие
И
Искусство-и-развлечения
В
Взаимоотношения
З
Здоровье
К
Кулинария-и-гостеприимство
Ф
Финансы-и-бизнес
П
Питомцы-и-животные
О
Образование
О
Образование-и-коммуникации
MrMut222
MrMut222
17.04.2022 17:00 •  Другие предметы

Установите соответствие между событиями (процессами, явлениями) и участниками этих событий (процессов, явлений). A) деятельность Первого ополчения

👇
Ответ:
DuginBorodaIzVaty
DuginBorodaIzVaty
17.04.2022
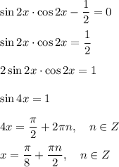
\sin2x\cdot \cos2x- \dfrac{1}{2} =0\\\\\sin2x\cdot \cos2x=\dfrac{1}{2} \\\\2\sin2x\cdot \cos2x=1\\\\\sin 4x=1\\\\4x= \dfrac{ \pi }{2} +2 \pi n,\quad n\in Z\\\\x= \dfrac{ \pi }{8} + \dfrac{ \pi n}{2} ,\quad n\in Z
4,5(12 оценок)
Открыть все ответы
Ответ:
anna18181818
anna18181818
17.04.2022

Кометы обладают различными формами и размерами, но их строение в основном схоже. Твёрдая часть кометы, называемая ядром, очень мала - менее 15 км в диаметре. Ядро состоит из частиц пыли и льда, напоминая грязный айсберг. Когда комета приближается к Солнцу, частицы льда испаряются и начинают светиться под действием солнечного света. Вскоре вокруг ядра образуется светящийся газовый шар, называемый комой. Когда комета стремительно приближается к Солнцу, газы “сметаются” в длинный струящийся хвост. В результате действия солнечного ветра и давления излучения, хвост комета почти всегда направлен от Солнца.

Кометы движутся по сильно вытянутым эллиптическим орбитам. Многие из этих орбит очень велики. Для того, чтобы совершить полный оборот нужно затратить от 100 000 до 1 млн. лет.

Ежегодно наблюдается около 10 комет. Комету почти невозможно обнаружить, если она находится дальше орбиты Юпитера. Большое количество слабых комет проходит совсем незамеченными из-за их малых размеров.

Голладский астроном Оорт предположил, что Солнечная система окружена целым роем комет. Этот рой называется облаком Оорта. Он на расстояние до 50 000 а.е. и окутывает Солнечную систему подобно большому сферическому гало. В облако Оорта входит до 100 млрд. комет. Некоторые кометы двигаются по таким вытянутым орбитам, что уходят далеко за пределы Солнечной системы и могут быть захвачены другой звездой. Таким же образом и до нас могут долетать кометы из других миров.

Кометы наблюдались в глубокой древности. мнения о их природе высказывались самые разные.

Пифагор и Сенека считали, что это звёзды, расположенные над Луной, никогда не пропадающие, но только из-за большого отдаления или укрытия под солнечными лучами, временно невидные, а временно, когда из под солнечных лучей выйдут, или сверху спустятся, видны.

При этом Демокрит и Анаксагор думали, что кометы это оптический обман, происходящий из-за суперпозиции световых волн в Космосе.

Гиппократ и Эсхил считали, что кометы - это звёзды, перемещающиеся то вниз, то вверх, то под Солнце.

Буллиалдус писал, что кометы - это такие звёзды, которые существуют в галактике, в Млечном Пути.

Иероним Карданус считал, что на каждой планетной сфере есть большие шары, которые, когда Солнце свои лучи через них пропускает, испаряются, либо выбрасывают огонь или бороду.

До наших дней дошли летописи, где появлению комет приписывались различные катаклизмы, войны, землетрясения, смерть монархов.

Кометы делятся на короткопериодические, долгопериодические и непериодические.

Непериодические кометы движутся по параболам.

Короткопериодические кометы имеют периоды около 3 - 10 лет. Их афелии не выходят за границы орбиты Юпитера. Предполагается, что это семейство образовалось из-за захвата Юпитером комет, которые двигались ранее по более вытянутым орбитам.

Кометы очень сильно меняют свои орбиты при прохождении вблизи планет-гигантов или близко к Солнцу. В конце концов они распадаются на мелкие части и метеорные потоки. Яркость короткопериодических комет со временем ослабевает, а в некоторых случаях даже наблюдался распад кометы. Примером может служить комета Биэлы, которая наблюдалась в 1772, 1815, 1826, 1832 годах. А в 1845 - 1846 годах распалась на две части.

Ядра комет состоят из льдов H2O, CO, CO2, NH3, HCN.

Кометные хвосты делятся на несколько типов:

1. Образуется при ускорении солнечным ветром кометных ионов, направлен в сторону противоположную Солнцу.

2. Состоит из пылинок, имеющих размер от долей до десятков микрометров. Этот хвост несколько изогнут.

3. Сильно изогнуты. Состоят из ещё более крупной пыли.

4. Выбросы из головы, направленные прямо к Солнцу.

Хвосты могут растягиваться на расстояния 107 км.

4,7(84 оценок)
Ответ:
Алиса0202
Алиса0202
17.04.2022

Объяснение:Еле́на Гаджи́евна Исинба́ева (род. 3 июня 1982 года, Волгоград, РСФСР, СССР) — российская прыгунья с шестом. Двукратная олимпийская чемпионка (2004, 2008), бронзовый призёр Олимпийских игр 2012 года. Трёхкратная чемпионка мира на открытом воздухе и 4-кратная чемпионка мира в помещении, чемпионка Европы как на открытом воздухе, так и в помещении. Обладательница 28 мировых рекордов[4] в прыжках с шестом. Заслуженный мастер спорта России.

22 июля 2005 года на соревнованиях в Лондоне впервые в истории женских прыжков с шестом взяла высоту пять метров. 18 августа 2008 года на пекинской Олимпиаде Елена Исинбаева установила мировой рекорд — 5,05 м.

18 августа 2016 года была избрана в комиссию спортсменов Международного олимпийского комитета (МОК)[5][6][7], войдя в четвёрку, отобранную из 24 кандидатов, получив 1365 голосов из 11 тысяч голосовавших атлетов, со сроком полномочий 8 лет. До неё спортсменом из России в комиссии был Александр Попов[8]. 21 августа 2016 года была избрана в члены МОК, получив 45 из 70 голосов при двух воздержавшихся[9].

Майор Вооружённых сил Российской Федерации.

Содержание

4,8(42 оценок)
Это интересно:
Новые ответы от MOGZ: Другие предметы
logo
Вход Регистрация
Что ты хочешь узнать?
Спроси Mozg
Открыть лучший ответ