М
Молодежь
К
Компьютеры-и-электроника
Д
Дом-и-сад
С
Стиль-и-уход-за-собой
П
Праздники-и-традиции
Т
Транспорт
П
Путешествия
С
Семейная-жизнь
Ф
Философия-и-религия
Б
Без категории
М
Мир-работы
Х
Хобби-и-рукоделие
И
Искусство-и-развлечения
В
Взаимоотношения
З
Здоровье
К
Кулинария-и-гостеприимство
Ф
Финансы-и-бизнес
П
Питомцы-и-животные
О
Образование
О
Образование-и-коммуникации
5nelli
5nelli
14.05.2021 03:11 •  Другие предметы

Определите энергию связи ядра изотопа алюминия 27 13 Al Масса протона 1,0073 а. е. м., масса нейтрона 1,0087 а. е. м., масса изотопа алюминия 26,98146 а. е. м.

👇
Ответ:
Танрпол
Танрпол
14.05.2021
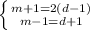
M - яблок у маши
d - яблок у Димы
система
\left \{ {{m + 1 = 2(d - 1)} \atop {m - 1 = d + 1}} \right.
\left \{ {{m = 2(d - 1) - 1} \atop {m = d + 2}} \right.
\left \{ {{d + 2 = 2d - 3} \atop {m = d + 2}} \right.
\left \{ {{5 = d} \atop {m = d + 2}} \right.
\left \{ {{d = 5} \atop {m = 5 + 2}} \right.
\left \{ {{d = 5} \atop {m = 7}} \right.
4,7(79 оценок)
Открыть все ответы
Ответ:
dinelle
dinelle
14.05.2021

Последовательность изготовления детали цилиндрической формы ручным инструментом: а — выпиливание бруска квадратного сечения из доски; б — разметка торцов и граней заготовки; в — восьмигранная форма заготовки; г — шестнадцатигранная форма заготовки; д — обработка круглой формы напильником; е — зачистка шлифовальной шкуркой

Ребра восьмигранника сострагивают шерхебелем или рубанком до линий разметки круга (рис. 1 в).

Еще раз проводят касательные к окружности, очерчивают по линейке линии 2 и сострагивают грани шестнадцатиугольника (рис. 1 г).

Дальнейшую обработку ведут поперек волокон с округлением формы вначале рашпилем, а затем напильниками с более мелкими насечками (рис.1 д).

Окончательно обрабатывают цилиндрическую поверхность шлифовальной шкуркой. При этом один конец заготовки закрепляют в зажиме верстака, а другой обтягивают шлифовальной шкуркой и вращают ее. Иногда заготовку обертывают шлифовальной шкуркой, обхватывая левой рукой, а правой вращают ее и перемещают вдоль своей оси вращения (рис. 1 е). Аналогично шлифуют заготовку и с другого конца.

Объяснение:

4,5(36 оценок)
Ответ:
dashameluhova95
dashameluhova95
14.05.2021
Космос влияет на человечество самыми разными способами. Смотря на звёзды, человек стремился к ним, пытался их познать: косвенно это привело к научным открытиям и появлению самых различных верований, сект.
Есть и прямое физическое влияние: смена времён года и суток (из-за вращения Земли вокруг Солнца и собственной оси соответственно). Магнитные бури влияют на самочувствие людей и их здоровье. Метеориты периодически падают на Землю, вызывая как малые, так и обширные разрушения.
Тепло Солнца и положение Земли по отношению к нему (Солнцу) определило саму возможность существования жизни на Земле вообще и человека в частности. При иных условиях она не могла бы появиться такой, какой мы её знаем (растительный мир. жизнь).
4,7(69 оценок)
Это интересно:
Новые ответы от MOGZ: Другие предметы
logo
Вход Регистрация
Что ты хочешь узнать?
Спроси Mozg
Открыть лучший ответ