М
Молодежь
К
Компьютеры-и-электроника
Д
Дом-и-сад
С
Стиль-и-уход-за-собой
П
Праздники-и-традиции
Т
Транспорт
П
Путешествия
С
Семейная-жизнь
Ф
Философия-и-религия
Б
Без категории
М
Мир-работы
Х
Хобби-и-рукоделие
И
Искусство-и-развлечения
В
Взаимоотношения
З
Здоровье
К
Кулинария-и-гостеприимство
Ф
Финансы-и-бизнес
П
Питомцы-и-животные
О
Образование
О
Образование-и-коммуникации
varabunia12
varabunia12
28.07.2020 21:08 •  Другие предметы

Груз массой 120 кг при каната равноускоренно опускается вниз и проходит путь 72 м за 12 с. Определите вес груза.

👇
Ответ:
xoxoberrmi11
xoxoberrmi11
28.07.2020
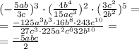
(- \frac{5ab}{3c} ) ^{3} \cdot( \frac{4b ^{4} }{15ac ^{3} }) ^{2} \cdot (\frac{3c ^{2} }{2b ^{2} }) ^{5}= \\ = \frac{-125a ^{3}b ^{3} \cdot16b ^{8}\cdot 243c ^{10} }{27c ^{3}\cdot225a ^{2}c ^{6} 32b ^{10} }= \\ = \frac{-5abc}{2}
при а=9,5
      b=0,2
       c=0,3
получаем ответ
(-5·9,5·0,2·0,3)/2=1,425
4,6(46 оценок)
Открыть все ответы
Ответ:
pomorcevakata98
pomorcevakata98
28.07.2020

ответ:  1 сентября Мира кульминирует, приблизительно, в 4 часа 22 минуты

Объяснение: Для ответа на этот вопрос можно воспользоваться подвижной картой звездного неба. Поскольку кульминацией называется пересечение светилом небесного меридиана, то карту надо повернуть так, что бы меридиан, на котором расположена Мира, совместился бы с полуденной линией, и был бы направлен на точку юга.  Затем на внешнем ободе подвижной карты найти нужный день года (в нашем случае 1 сентября), и против этого дня на ободе неподвижного основания карты прочитать время.  В нашем случае это будет, примерно, 4 часа 22 минуты.

4,6(84 оценок)
Ответ:
mashacolobowa2
mashacolobowa2
28.07.2020
На иллюстрации И. Пчелко изображён момент, когда сербский  воитель отвешивает франту очередную оплеуху. «— А-а! — говорит воитель,— вы не смотрите, а чай пьёте? Так я же вас заставлю на меня смотреть, и вот вам от меня к чаю лимонный сок, песок и шоколаду кусок!.. — да с этим — хлоп, хлоп, хлоп! Его три раза по лицу и ударил».
У воителя свободное размашистое движение, он хочет привлечь внимание к ситуации, франт в панике пытается привстать и, как бы не веря, хватается за лицо. Его поза отражает ошеломление лощёного светского человека, чья игра оказалась  разрушена примитивно,  но действенно.  Старик-гений смотрит на разыгрывающуюся сцену зорко и понимающе. У него сложены руки, что показывает его собранность и напряжение. Правда, он почему-то похож на Гэндальфа из «Властелина Колец». Вряд ли этот человек выглядел столь величественно. Старушка изумлена происходящим, она не понимает ничего, но во всём уже доверилась старику и теперь хватается за него, как за опору. Художнику в полной мере удалось передать динамику эпизода и характеры героев. Высокопоставленная дама показана со спины, потому что о ней в рассказе нет никакой информации, кроме той, что она богата, независима и надолго уезжает.
4,5(51 оценок)
Это интересно:
Новые ответы от MOGZ: Другие предметы
logo
Вход Регистрация
Что ты хочешь узнать?
Спроси Mozg
Открыть лучший ответ