М
Молодежь
К
Компьютеры-и-электроника
Д
Дом-и-сад
С
Стиль-и-уход-за-собой
П
Праздники-и-традиции
Т
Транспорт
П
Путешествия
С
Семейная-жизнь
Ф
Философия-и-религия
Б
Без категории
М
Мир-работы
Х
Хобби-и-рукоделие
И
Искусство-и-развлечения
В
Взаимоотношения
З
Здоровье
К
Кулинария-и-гостеприимство
Ф
Финансы-и-бизнес
П
Питомцы-и-животные
О
Образование
О
Образование-и-коммуникации

Выразительно прочитайте текст предыдущего упражнения. Какова его основная мысль? Согласны ли вы с ней? Почему автор сравнивает

👇
Ответ:
luska059
luska059
06.05.2021
\frac{3x-1}{x^2} - \frac{x-9}{3x} = \frac{3(3x-1)-x(x-9)}{3x^2} = \frac{9x-3-x^2+9x}{3x^2} = \frac{-x^2+18x-3}{3x^2} =-\frac{x^2-18x+3}{3x^2}

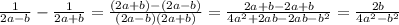
\frac{1}{2a-b} - \frac{1}{2a+b} = \frac{(2a+b)-(2a-b)}{(2a-b)(2a+b)} = \frac{2a+b-2a+b}{4a^2+2ab-2ab-b^2} =\frac{2b}{4a^2-b^2}

\frac{5}{c+3} - \frac{5c-2}{c^2+3c} = \frac{5}{c+3} - \frac{5c-2}{c(c+3)} = \frac{5c-(5c-2)}{c(c+3)} =\frac{5c-5c+2}{c(c+3)} =\frac{2}{c^2+3c}
4,5(3 оценок)
Открыть все ответы
Ответ:
dashameluhova95
dashameluhova95
06.05.2021
Космос влияет на человечество самыми разными способами. Смотря на звёзды, человек стремился к ним, пытался их познать: косвенно это привело к научным открытиям и появлению самых различных верований, сект.
Есть и прямое физическое влияние: смена времён года и суток (из-за вращения Земли вокруг Солнца и собственной оси соответственно). Магнитные бури влияют на самочувствие людей и их здоровье. Метеориты периодически падают на Землю, вызывая как малые, так и обширные разрушения.
Тепло Солнца и положение Земли по отношению к нему (Солнцу) определило саму возможность существования жизни на Земле вообще и человека в частности. При иных условиях она не могла бы появиться такой, какой мы её знаем (растительный мир. жизнь).
4,7(69 оценок)
Ответ:
ренпарне678
ренпарне678
06.05.2021
Космос влияет на человечество самыми разными способами. Смотря на звёзды, человек стремился к ним, пытался их познать: косвенно это привело к научным открытиям и появлению самых различных верований, сект.
Есть и прямое физическое влияние: смена времён года и суток (из-за вращения Земли вокруг Солнца и собственной оси соответственно). Магнитные бури влияют на самочувствие людей и их здоровье. Метеориты периодически падают на Землю, вызывая как малые, так и обширные разрушения.
Тепло Солнца и положение Земли по отношению к нему (Солнцу) определило саму возможность существования жизни на Земле вообще и человека в частности. При иных условиях она не могла бы появиться такой, какой мы её знаем (растительный мир. жизнь).
4,4(67 оценок)
Новые ответы от MOGZ: Другие предметы
logo
Вход Регистрация
Что ты хочешь узнать?
Спроси Mozg
Открыть лучший ответ