М
Молодежь
К
Компьютеры-и-электроника
Д
Дом-и-сад
С
Стиль-и-уход-за-собой
П
Праздники-и-традиции
Т
Транспорт
П
Путешествия
С
Семейная-жизнь
Ф
Философия-и-религия
Б
Без категории
М
Мир-работы
Х
Хобби-и-рукоделие
И
Искусство-и-развлечения
В
Взаимоотношения
З
Здоровье
К
Кулинария-и-гостеприимство
Ф
Финансы-и-бизнес
П
Питомцы-и-животные
О
Образование
О
Образование-и-коммуникации

Установите соответствие между понятиями и их определениями программное обеспечение общесистемного назначения < программы, обеспечивающие возможность выполнения

👇
Ответ:
otegenovaaina2
otegenovaaina2
04.04.2022
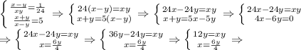
Пусть есть 2 натуральных числа, x и y, тогда,следуя условию, получаем следующее:
1) 
\frac{x-y}{xy}= \frac{1}{24}

2)
\frac{x+y}{x-y} = \frac{5}{1} \Rightarrow \frac{x+y}{x-y} = 5

Составим систему из 2 уравнений с 2 неизвестными и решим ее:
\left \{ {{ \frac{x-y}{xy}= \frac{1}{24} } \atop {\frac{x+y}{x-y} = 5}} \right. \Rightarrow \left \{ {{24(x-y)=xy} \atop {x+y=5(x-y)}} \right. \Rightarrow \left \{ {{24x-24y=xy} \atop {x+y=5x-5y}} \right. \Rightarrow \left \{ {24x-24y=xy} \atop {4x-6y=0}} \right. \\\Rightarrow \left \{ {{24x-24y=xy} \atop {x= \frac{6y}{4} }} \right. \Rightarrow \left \{ {{36y-24y=xy} \atop {x=\frac{6y}{4}}} \right. \Rightarrow \left \{ {{12y=xy} \atop {x=\frac{6y}{4}}} \right. \Rightarrow \left
\{ {{x=12} \atop {12= \frac{6y}{4} }} \right. \Rightarrow \left \{ {{x=12} \atop {48=6y}} \right. \Rightarrow \left \{ {{x=12} \atop {y=8}} \right.

ответ: x=12, y=8 
4,4(5 оценок)
Открыть все ответы
Ответ:
AlenaStypak
AlenaStypak
04.04.2022
Этот небольшой рассказ написан в форме исповеди взрослого человека своему племяннику — о том времени, когда мальчик был еще совсем маленьким. Главный герой проявляет себя удивительным, проникновенным психологом, настоящим знатоком детской души. Он прекрасно знает, как безграничны детские радость и горе, насколько страстны детские желания и глубоки обиды, насколько чутко маленькое сердце к любой фальши и несправедливости. Но вместе с тем он играет роль «разумного воспитателя», «справедливого, хотя и строгого дяди». К сожалению, получается так, что «разыгрывание роли спокойного и рассудительного дяде обманывать самого себя, выдать собственную лень за принцип разумного воспитания. Прекрасно чувствуя это, но будучи не в силах повлиять на сильных и самостоятельных взрослых, чтобы побыстрее воплотить в жизнь свое самое сокровенное желание, маленький Женя ищет свои превращения ожидания беспокойного — в радостное. Именно это и приводит к конфликту, на долгие годы оставившему в душе «очень, очень умного дяди» ощущение вины и собственной ошибки.
4,7(21 оценок)
Ответ:
polina686
polina686
04.04.2022

Нарушение ритма разбега.

Многократное выполнение разбега с постепенным повышением скорости.

2. Отсутствие прямолинейности в разбеге.

Выполнение разбега по начерченной линии

3. Непопадание на место отталкивания.

Разбег по отметкам для отдельных шагов.

4. Напрыгивание на толчковую ногу на последнем шаге.

Выполнение последних шагов разбега по отметкам.

5. Неполное распрямление толчковой ноги при отталкивании.

Прыжки с доставанием высоко подвешенных предметов рукой, головой.

6. Наклон тела в сторону планки при отталкивании.

Прыжки с махом свободной ногой в направлении разбега.

7. Мах согнутой ногой.

8. Мах выполняется скованно, закрепощенно.

Свободные маятникообразные движения маховой ногой, постепенно увеличивая их амплитуду.

9. Отсутствует единство маха рук и ноги.

Повторить упражнения по освоению маховых движений

10. Ранний наклон туловища вперед после отталкивания.

Прыжки на «взлет» с вертикальным положением тела.

11. Отведение плеч назад перешагивание»).

Прыжки с наклоном туловища вперед в наивысшей точке взлета.

12. Провисание таза над планкой перешагивание»).

Прыжки с задачей: в наивысшей точке взлета послать маховую ногу и плечи в сторону планки.

13. При переходе через планку туловище прогнуто в поясничной области перекидной»).

Повторить упражнение по освоению перехода через планку.

l4. Маховая нога преждевременно опускается вниз за планку перекидной»).

Маховую ногу удерживать вдоль планки, толчковую, согнутую в коленном суставе, максимально отвести наружу.

15. Отсутствие необходимого вращения тела при переходе планки перекидной»).

Прыжки через гимнастические снаряды (скамейку, брусья, коня): после опоры на руки поочередный перенос ног.

hello_html_7ea8575.jpg

Рис.1 Прыжок в высоту Волна»

hello_html_72f8187c.jpg

Рис.2 Прыжок в высоту Перекат»

hello_html_4e900859.png

Рис.3 Прыжок в высоту Фосбюри-флоп»

hello_html_m5cff9d29.jpg

Рис. 4 Фаза разбега

hello_html_m3538d00.jpg

Рис. 5 Фаза отталкивания

hello_html_m732d1273.jpg

Рис. 6 Фаза перехода через планку

hello_html_m94900bd.jpg

4,5(29 оценок)
Это интересно:
Новые ответы от MOGZ: Другие предметы
logo
Вход Регистрация
Что ты хочешь узнать?
Спроси Mozg
Открыть лучший ответ