М
Молодежь
К
Компьютеры-и-электроника
Д
Дом-и-сад
С
Стиль-и-уход-за-собой
П
Праздники-и-традиции
Т
Транспорт
П
Путешествия
С
Семейная-жизнь
Ф
Философия-и-религия
Б
Без категории
М
Мир-работы
Х
Хобби-и-рукоделие
И
Искусство-и-развлечения
В
Взаимоотношения
З
Здоровье
К
Кулинария-и-гостеприимство
Ф
Финансы-и-бизнес
П
Питомцы-и-животные
О
Образование
О
Образование-и-коммуникации
anna1919191
anna1919191
04.03.2022 18:32 •  Другие предметы

Расход воды в канале за минуту составляет 16,2 м3 Ши­рина канала 1,5 м и глубина воды 0,6 м. Определите скорость воды

👇
Ответ:
Ятот
Ятот
04.03.2022
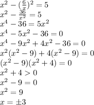
x^2-( \frac{6}{x} )^2=5
\\\
x^2-\frac{36}{x^2} =5
\\\
x^4-36=5x^2
\\\
x^4-5x^2-36=0
\\\
x^4-9x^2+4x^2-36=0
\\\
x^2(x^2-9)+4(x^2-9)=0
\\\
(x^2-9)(x^2+4)=0
\\\
x^2+40
\\\
x^2-9=0
\\\
x^2=9
\\\
x=\pm3
ответ: -3 и 3
4,6(85 оценок)
Открыть все ответы
Ответ:
Alips
Alips
04.03.2022

Особистий тренажерний зал: Фізична реабілітація та лікувальна гімнастика

Опис: Особистий тренажерний зал є одним із напрямів фізичної реабілітації та лікувальної гімнастики. Цей підхід передбачає індивідуальні тренування під наглядом спеціаліста з фізичної терапії. Основною метою особистого тренажерного залу є поліпшення функціонального стану пацієнта, відновлення рухових навичок та здоров'я.

Основні переваги особистого тренажерного залу:

1. Індивідуальний підхід: кожному пацієнту призначається індивідуальна програма тренувань з урахуванням його потреб і можливостей.

2. Нагляд спеціаліста: під час тренувань пацієнти отримують професійний нагляд та підтримку фахівця з фізичної терапії, що допомагає досягти оптимальних результатів.

3. Різноманітні тренажери: у тренажерному залі є різні види спеціалізованих тренажерів, які дозволяють працювати над різними аспектами фізичної реабілітації.

4. Контроль прогресу: з регулярними тренуваннями в особистому тренажерному залі можна контролювати прогрес пацієнта та вносити корективи в програму, якщо необхідно.

Завдання для плакату або слайда:

- Включити важливу інформацію про особистий тренажерний зал.

- Показати фотографії різних тренажерів та пацієнтів, які займаються у тренажерному залі.

- Відобразити основні переваги та користь від фі

зичної реабілітації у тренажерному залі.

- Надати контактну інформацію про лікувальний центр чи клініку, де можна знайти такий особистий тренажерний зал.

Завдання для текстового документу:

В текстовому документі можна описати детальніше про особистий тренажерний зал, його особливості, види тренажерів та програми тренувань, а також процес фізичної реабілітації та лікувальної гімнастики, який проводиться у цьому залі. Додатково, можна включити рекомендації для пацієнтів щодо зайняття у тренажерному залі та посилання на додаткові джерела інформації.

Будь-який з цих форматів (плакат, слайд або текстовий документ) може бути використаний для наглядної презентації інформації про особистий тренажерний зал та його переваги у фізичній реабілітації та лікувальній гімнастиці.

Объяснение:

4,4(95 оценок)
Ответ:
маришка213
маришка213
04.03.2022

ответ: Сидерический период обращения тела = 8,00 лет.

Объяснение:   Дано:

Большая полуось орбиты тела Ат = 4 а.е.

Большая полуось орбиты Земли Аз = 1 а.е.

Сидерический период обращения Земли Тз = 1 год

Найти сидерический период обращения тела Тт - ?

По третьему закону Кеплера отношение кубов больших полуосей орбит планет равно отношению квадратов периодов обращения планет вокруг Солнца. В нашем случае, имеем:  Аз³/Ат³ = Тз²/Тт².  

Из этого соотношения следует, что Тт² = Тз²*Ат³/Аз³. Отсюда Та = √ Тз²*Ат³/Аз³ =  √1²*4³/1³ = √4³ = 8 лет.

С учетом требования округления = 8,00 лет.

4,4(68 оценок)
Это интересно:
Новые ответы от MOGZ: Другие предметы
logo
Вход Регистрация
Что ты хочешь узнать?
Спроси Mozg
Открыть лучший ответ