М
Молодежь
К
Компьютеры-и-электроника
Д
Дом-и-сад
С
Стиль-и-уход-за-собой
П
Праздники-и-традиции
Т
Транспорт
П
Путешествия
С
Семейная-жизнь
Ф
Философия-и-религия
Б
Без категории
М
Мир-работы
Х
Хобби-и-рукоделие
И
Искусство-и-развлечения
В
Взаимоотношения
З
Здоровье
К
Кулинария-и-гостеприимство
Ф
Финансы-и-бизнес
П
Питомцы-и-животные
О
Образование
О
Образование-и-коммуникации
mstuckov98
mstuckov98
22.08.2020 08:36 •  Другие предметы

Какие физические явления называют тепловыми?

👇
Ответ:
adelya63Ada
adelya63Ada
22.08.2020
Выражение √(-4х) имеет смысл при х≤0
ответ: х∈(-∞;0]
4,7(18 оценок)
Ответ:
dgony2003
dgony2003
22.08.2020
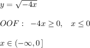
y=\sqrt{-4x}\\\\OOF:\; \; -4x \geq 0,\; \; \; x \leq 0\\\\x\in (-\infty,0\, ]
4,4(32 оценок)
Открыть все ответы
Ответ:
d0ruska
d0ruska
22.08.2020

Как часто мы задумываемся о нашей жизни? В коротких передышках между бесконечным марафоном в погоне за тем, что нам на самом деле не нужно? Или же и вовсе забываем о человеческих истинах, подменяя их фальшивыми стереотипами, активно насаждающимися извне. Мы становимся сухими, черствыми, пустыми…

Эту печальную тенденцию подметил Антуан де Сент-Экзюпери. Его стремление заставить людей вновь задуматься о том, что на самом деле важно в человеческой жизни нашло отражение в великолепной философской сказке «Маленький принц».

Главный герой глазами ребенка, порой гораздо более мудрого, нежели взрослый, в очередной раз напоминает о том, что должно быть в приоритете у человека: понимание, гармония с окружающим миром радоваться таким вещам, которые не купишь ни за какие деньги: рассвет, аромат цветка, сияние звезд. И главное – любовь и дружба.

Объяснение:

4,5(80 оценок)
Ответ:
matvirucom80
matvirucom80
22.08.2020
12-й подвиг был самым трудным подвигом Геракла, поскольку ему надо было дойти до края света, а это было очень трудно, ведь там действовали другие законы. Прежде чем достичь края Земли, Гераклу пришлось преодолеть множество опасностей: найти Нерея. напасть на него и задержать- сражаться в Ливии с Антеем, быть связанным по приказу царя Египта Бусириса (Бусирис хотел принести Геракла в жертву Зевсу), затем держать небесный свод вместо Атласа. Нечеловеческие силы и помощь богини Афины помогли Гераклу держать небесный свод до тех пор, пока не вернулся Атлас с золотыми яблоками.
4,6(4 оценок)
Новые ответы от MOGZ: Другие предметы
logo
Вход Регистрация
Что ты хочешь узнать?
Спроси Mozg
Открыть лучший ответ