М
Молодежь
К
Компьютеры-и-электроника
Д
Дом-и-сад
С
Стиль-и-уход-за-собой
П
Праздники-и-традиции
Т
Транспорт
П
Путешествия
С
Семейная-жизнь
Ф
Философия-и-религия
Б
Без категории
М
Мир-работы
Х
Хобби-и-рукоделие
И
Искусство-и-развлечения
В
Взаимоотношения
З
Здоровье
К
Кулинария-и-гостеприимство
Ф
Финансы-и-бизнес
П
Питомцы-и-животные
О
Образование
О
Образование-и-коммуникации

Идеология - система концептуально оформленных представлений, идей и взглядов на политическую жизнь, которая отражает интересы, мировоззрение

👇
Ответ:
seniorALFEROV
seniorALFEROV
21.09.2022

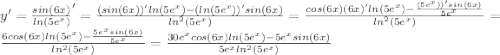
по правилам производной от частного и формулах производных основных элементарных фукнций

y'=\frac {sin(6x)}{ln(5e^x)}'= \frac{(sin(6x))' ln (5e^x)-(ln (5e^x))'sin (6x)}{ln^2 (5e^x)}=\frac{cos(6x)(6x)' ln (5e^x)-\frac {(5e^x))'sin (6x)}{5e^x}}{ln^2 (5e^x)}= \frac{6cos(6x)ln (5e^x)-\frac {5e^x sin (6x)}{5e^x}}{ln^2 (5e^x)}= \frac{30e^x cos(6x)ln (5e^x)-5e^x sin (6x)}{5e^x ln^2 (5e^x)}

4,8(64 оценок)
Ответ:
zhenyafedorisch
zhenyafedorisch
21.09.2022

y= ( (sin6x)' * ln(5e^x) - sin6x * ( ln(5e^x))' ) / (ln5e^x)^2 = 6*cos6x*ln(5e^x) - sin6x* 5e^x / 5e^x = 6*cos6x * ln(5e^x) - sin6x

4,5(85 оценок)
Открыть все ответы
Ответ:
У всякого талант есть свой; Но часто, на успех прельщаясь чужой, Хватается за то иной, В чем он совсем не годен. А мой совет такой: Берись за то, к чему ты сроден, Коль хочешь, чтоб в делах успешный был конец. Какой-то смолоду Скворец Так петь щегленком научился, Как будто бы щегленком сам родился. Игривым голоском весь лес он веселил, И всякий Скворушку хвалил. Иной бы был такой доволен частью; Но Скворушка услышь, что хвалят соловья, - А Скворушка завистлив был, к несчастью, - И думает: "Постойте же, друзья, Спою не хуже я И соловьиным ладом". И подлинно запел, Да только лишь совсем особым складом: То он пищал, то он хрипел, То верещал козленком, То непутем Мяукал он котенком; И, словом, разогнал всех птиц своим пеньем. Мой милый Скворушка, ну что за прибыль в том? Пой лучше хорошо щегленком, Чем дурно соловьем.
4,8(32 оценок)
Ответ:
Nika7854
Nika7854
21.09.2022
У всякого талант есть свой; Но часто, на успех прельщаясь чужой, Хватается за то иной, В чем он совсем не годен. А мой совет такой: Берись за то, к чему ты сроден, Коль хочешь, чтоб в делах успешный был конец. Какой-то смолоду Скворец Так петь щегленком научился, Как будто бы щегленком сам родился. Игривым голоском весь лес он веселил, И всякий Скворушку хвалил. Иной бы был такой доволен частью; Но Скворушка услышь, что хвалят соловья, - А Скворушка завистлив был, к несчастью, - И думает: "Постойте же, друзья, Спою не хуже я И соловьиным ладом". И подлинно запел, Да только лишь совсем особым складом: То он пищал, то он хрипел, То верещал козленком, То непутем Мяукал он котенком; И, словом, разогнал всех птиц своим пеньем. Мой милый Скворушка, ну что за прибыль в том? Пой лучше хорошо щегленком, Чем дурно соловьем.
4,8(6 оценок)
Новые ответы от MOGZ: Другие предметы
Полный доступ к MOGZ
Живи умнее Безлимитный доступ к MOGZ Оформи подписку
logo
Вход Регистрация
Что ты хочешь узнать?
Спроси Mozg
Открыть лучший ответ