М
Молодежь
К
Компьютеры-и-электроника
Д
Дом-и-сад
С
Стиль-и-уход-за-собой
П
Праздники-и-традиции
Т
Транспорт
П
Путешествия
С
Семейная-жизнь
Ф
Философия-и-религия
Б
Без категории
М
Мир-работы
Х
Хобби-и-рукоделие
И
Искусство-и-развлечения
В
Взаимоотношения
З
Здоровье
К
Кулинария-и-гостеприимство
Ф
Финансы-и-бизнес
П
Питомцы-и-животные
О
Образование
О
Образование-и-коммуникации

Прочитайте объявление. Спишите его, вставляя пропущенные буквы. Подчеркните обращение. Для чего пишутся объявления?

👇
Ответ:
zomarova003
zomarova003
11.08.2022
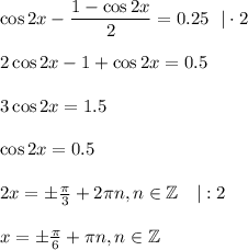
Пользуя формулой понижения степени, получим

\cos 2x- \dfrac{1-\cos 2x}{2} =0.25~~|\cdot 2\\ \\ 2\cos 2x-1+\cos 2x=0.5\\ \\ 3\cos2x=1.5\\ \\ \cos2x=0.5\\ \\ 2x=\pm \frac{\pi}{3}+2 \pi n,n \in \mathbb{Z} ~~~|:2\\ \\ x=\pm \frac{\pi}{6}+ \pi n,n \in \mathbb{Z}

Корни принадлежащие отрезку [п/2;3п]: 5π/6; 7π/6; 11π/6; 13π/6; 17π/6.
4,5(28 оценок)
Открыть все ответы
Ответ:
Примари
Примари
11.08.2022

Объяснение:

Лиро-эпостық жырлар ғашықтық жырлар - лирикалық әрі эпикалық шығарма. Оқиға желісі бірін-бірі құлай сүйген екі жас арасындағы махаббатқа құрылады. Көпшілігінің оқиғасы сүйгеніне қосылуды аңсаған, жастарға ескі салт-сана қарсы тұрып, мерт қылумен аяқталады. Лиро-эпостық жырларларда халықтың тұрмыс-салты, әдет-ғұрпы, наным-сенімі, көңіл-күйі көбірек суреттеледі. Оларда реалистік және романтикалық көріністер сабақтаса келіп, реалистік әдіс басым жатады. лиро- эпостық жырларда кейіпкерлер батырлар емес, карапайым адамдар. Екі жастың бір -біріне деген сүйіспешілігін жырлайтын эпостарда, негізінен, махаббат отына жанған қыз бен жігіттің қосыла алмай, трагедияға ұшыраған тағдыры баяндалады. Әдетте, олардың бақытына кедергі болатын нәрсе -ата- аналардың қарсылығы немесе қызға ғашық басқа жігіттің жауыздығы , иә болмаса екі рудың араздығы болып көрсетіледі.

Ғашықтық жырлар көркем фольклордың даму барысында батырлық эпостан кештеу қалыптасқан, бірақ бұл қаһармандық жыр мүлде өшіп, оның орнына романдық эпос келді деген сөз емес, Эпостың бұл екі түрі көп уақыт бірге , бір -бірімен байланыса, қатарласа дамыған. Ұқсастықтары да аз емес. Олардың жалпы поэтикалық сипаты ұқсас. Айталық, сюжеттік құрылымдардың бір типті болып келуі, образдар жүйесіндегі біркелкілік, өлең құрылысы мен бейнелеуіш құралдардың біртектілігі секілді белгілер эпостың екі түрінде де кездеседі. Ғашыктык жырлар көп вариантты болып келеді Оның себебі көп замандар бүл жырлар ауыздан- ауызға тарап, біреуден біреу жаттап алу арқылы кейінгі ұрпаққа жетіп баспаға іліккен.[1]

4,7(6 оценок)
Ответ:
Apple008
Apple008
11.08.2022

в современном мире, достаточно редко встретить по истине доброго человека, чаше всего нам встречают люди, которые скрывают за маской добра, свои корыстные намерения, такие люди называются двуличными.

Но не стоит забывать, что не все мы такие. Доброта есть и сегодня, в наши дни, но её очень мало так как, с каждым днем происходят какие-то отрицательные факторы которые уничтожают, все что есть на свете доброе

так на пример, человек который когда-то доверился по своей доброте, был предан, после чего он был зол на всех, тем самым становится обиженным и злым,забывая про то, что когда-то был добрым.

4,7(46 оценок)
Это интересно:
Новые ответы от MOGZ: Другие предметы
logo
Вход Регистрация
Что ты хочешь узнать?
Спроси Mozg
Открыть лучший ответ