М
Молодежь
К
Компьютеры-и-электроника
Д
Дом-и-сад
С
Стиль-и-уход-за-собой
П
Праздники-и-традиции
Т
Транспорт
П
Путешествия
С
Семейная-жизнь
Ф
Философия-и-религия
Б
Без категории
М
Мир-работы
Х
Хобби-и-рукоделие
И
Искусство-и-развлечения
В
Взаимоотношения
З
Здоровье
К
Кулинария-и-гостеприимство
Ф
Финансы-и-бизнес
П
Питомцы-и-животные
О
Образование
О
Образование-и-коммуникации
KNEZIX
KNEZIX
25.11.2021 23:47 •  Другие предметы

Какие тематические линии можно выделить в повести? Куприна "Поединок"

👇
Ответ:
максик1234431
максик1234431
25.11.2021
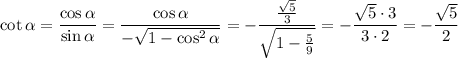
Угол в 3 четверти, значит синус отрицательный

\cot \alpha =\dfrac{\cos \alpha }{\sin \alpha }=\dfrac{\cos \alpha }{- \sqrt{1-\cos^2 \alpha } }=-\dfrac{ \frac{ \sqrt{5} }{3} }{\sqrt{1- \frac{5}{9} } }=-\dfrac{ \sqrt{5}\cdot 3 }{3\cdot 2}=- \dfrac{ \sqrt{5} }{2}

PS
синус выразили через косинус по основной тригонометрической формуле
4,4(4 оценок)
Открыть все ответы
Ответ:
SeitZhanel11
SeitZhanel11
25.11.2021
Планировка домов оставалась традиционной с печью в центре. Но появилось гораздо больше украшений (резьбы, изразцов, росписей) и печи, и мебели. Широко распространились ковры. В домах особенно богатых и образованных бояр появились географические карты, картины, зеркала, часы. Традиционную серебряную посуду престижно было заменить стеклянной. Она была дороже, потому что привозилась из Западной Европы. Появились новые привозные тканы (парча, тафта) и продукты питания (пряности, лимоны, изюм, миндаль, рис). Особенно ценился сахар. Девушки красили себе зубы в чёрный цвет. Они показывали этим богатство своей семью: только очень богатые семью могли покупать столько сахара, чтобы у дочери уже в таком раннем возрасте были такие испорченные зубы. Традиционные повозки и крытые сани стали заменять кареты.
4,7(31 оценок)
Ответ:
kluk12
kluk12
25.11.2021
2. Нахождение в природе:

Сера довольно широко распространена в природе. В земной коре ее содержание оценивается в 0,05% по массе. В природе часто встречаются значительные залежи самородной серы (обычно вблизи вулканов); в Европе они расположены на юге Италии, в Сицилии. Еще большие залежи самородной серы имеются в США (в штатах Луизиана и Техас), а также в Средней Азии, в Японии, в Мексике. В природе сера встречается как россыпями, так и в виде кристаллических пластов, иногда образуя изумительные по красоте группы полупрозрачных желтых кристаллов (так называемые друзы).
В вулканических местностях часто наблюдается выделение из-под земли газа сероводорода H2S; в этих же регионах сероводород встречается в растворенном виде в серных водах. Вулканические газы часто содержат также сернистый газ SO2.
На поверхности нашей планеты широко распространены месторождения различных сульфидных соединений. Наиболее часто среди них встречаются: железный колчедан (пирит) FeS2, медный колчедан (халькопирит) CuFeS2, свинцовый блеск PbS, киноварь HgS, сфалерит ZnS и его кристалическая модификация вюртцит, антимонит Sb2S3 и другие. Известны также многочисленные месторождения различных сульфатов, например, сульфата кальция (гипс CaSO4·2H2O и ангидрит CaSO4), сульфата магния MgSO4 (горькая соль), сульфата бария BaSO4 (барит), сульфата стронция SrSO4 (целестин), сульфата натрия Na2SO4·10H2O (мирабилит) и др.
Каменные угли содержат в среднем 1,0-1,5% серы. Сера может входить и в состав нефти. Целый ряд месторождений природного горючего газа (например, Астраханское) содержат как примесь сероводород.
Сера относится к элементам, которые необходимы для живых организмов, так как она является существенной составной частью белков. Белки содержат 0,8-2,4% (по массе) химически связанной серы. Растения получают серу из сульфатов, содержащихся в почве. Неприятные запахи, возникающие при гниении трупов животных, объясняются главным образом выделением соединений серы (сероводорода: и меркаптанов), образующихся при разложении белков. В морской воде присутствует около 8,7·10-2 % серы.
4,8(39 оценок)
Новые ответы от MOGZ: Другие предметы
logo
Вход Регистрация
Что ты хочешь узнать?
Спроси Mozg
Открыть лучший ответ