М
Молодежь
К
Компьютеры-и-электроника
Д
Дом-и-сад
С
Стиль-и-уход-за-собой
П
Праздники-и-традиции
Т
Транспорт
П
Путешествия
С
Семейная-жизнь
Ф
Философия-и-религия
Б
Без категории
М
Мир-работы
Х
Хобби-и-рукоделие
И
Искусство-и-развлечения
В
Взаимоотношения
З
Здоровье
К
Кулинария-и-гостеприимство
Ф
Финансы-и-бизнес
П
Питомцы-и-животные
О
Образование
О
Образование-и-коммуникации

В поясах низкого атмосферного давления выпадает много осадков, потому что воздух в них

👇
Ответ:
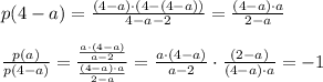
Дано: p(a)= \frac{a(4-a)}{a-2}

Найти \frac{p(a)}{p(4-a)}
Решение
p(4-a)= \frac{(4-a)\cdot(4-(4-a))}{4-a-2}=\frac{(4-a)\cdot a}{2-a}}\\\\ \frac{p(a)}{p(4-a)}= \frac{ \frac{a\cdot(4-a)}{a-2}}{\frac{(4-a)\cdot a}{2-a}}=\frac{a\cdot(4-a)}{a-2}\cdot \frac{(2-a)}{(4-a)\cdot a} =-1
4,4(16 оценок)
Открыть все ответы
Ответ:
ladychoco
ladychoco
03.06.2023

Я представляю царя Берендея добрым и бесхарактерным человеком, он не стал защищать своего сына, а отправил его на верную смерть. У царя Берендея длинная борода, признак почтенного уважаемого человека, значит унаследовал трон, а не захватил. Поведение царя Берендея говорит о том, что в царстве долгое время не было войны, то ли врагов не было, то ли Берендей был все-таки мудрым человеком, а на старости лет дал слабину. Кощей Бессмертный живет во дворце из карбункула-камня, автор этим подчеркивает жестокость сказочного злодея, когда Иван Царевич впервые попал к нему, Кощей от злости затопал ногами. Но добро победило и сказка о царе Берендее закончилась веселой свадьбой.

Объяснение:

4,4(72 оценок)
Ответ:
катя4762
катя4762
03.06.2023
Уважаемый Михаил Васильевич!
В это сложно поверить, но я обращаюсь к Вам из 21 века. Если бы Вы хоть одним глазком смогли увидеть, как далеко продвинулась наука, то попали бы в удивительный мир: сейчас можно передвигаться намного быстрее с помощью автомобиля, общаться, слышать и видеть друг друга на расстоянии с помощью компьютера, телефона…
Меня восхищает Ваше усердие и невероятная выносливость: Вы проделали долгий путь пешком из Архангельска в Москву ради того, чтобы удовлетворить жажду знаний и получить образование! Это поразительно! А в наше время образование может получить каждый…
Вы, Михаил Васильевич, упорно стремились к своей цели и поступили в Славяно-греко-латинскую академию. Уже, будучи взрослым юношей, не постыдились сидеть за одной партой с детьми, которым было 7-12 лет! Это явный пример того, что учиться, узнавать новое никогда не поздно!
Вы сделали нашу жизнь интереснее, богаче, ярче. Хотите спросить, почему мы Вас помним? Ответ прост. Ваши открытия: закон сохранения массы, освоение севера, создание русского классического стихотворения – всё это используется и по сей день!
Я хочу Вас обрадовать. Вашим именем названо главное учебное заведение нашей страны! А ещё мост и станция метро в Санкт-Петербурге, хребет, гора, полуостров, холодное течение, один из кратеров, а также бесчисленное множество проспектов, улиц, площадей в Москве, Архангельске, Благовещенске, Саратове, Воркуте, Владимире, Киеве, Симферополе, Харькове… Весь мир хочет отдать Вам, Михаил Васильевич, дань уважения! Вы – гений! Низкий поклон Вам…
4,5(47 оценок)
Это интересно:
Новые ответы от MOGZ: Другие предметы
logo
Вход Регистрация
Что ты хочешь узнать?
Спроси Mozg
Открыть лучший ответ