М
Молодежь
К
Компьютеры-и-электроника
Д
Дом-и-сад
С
Стиль-и-уход-за-собой
П
Праздники-и-традиции
Т
Транспорт
П
Путешествия
С
Семейная-жизнь
Ф
Философия-и-религия
Б
Без категории
М
Мир-работы
Х
Хобби-и-рукоделие
И
Искусство-и-развлечения
В
Взаимоотношения
З
Здоровье
К
Кулинария-и-гостеприимство
Ф
Финансы-и-бизнес
П
Питомцы-и-животные
О
Образование
О
Образование-и-коммуникации

Электронная формула соединения с ковалентной неполярной связью: 1 - :C : Cl: 2 - H : N : H

👇
Ответ:
Женечка5551
Женечка5551
04.06.2023
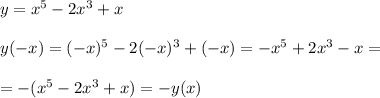
y=x^5-2x^3+x\\\\y(-x)=(-x)^5-2(-x)^3+(-x)=-x^5+2x^3-x=\\\\=-(x^5-2x^3+x)=-y(x)

Если  y(-x)=-y(x) , то функция нечётная.
4,6(25 оценок)
Открыть все ответы
Ответ:
Оно8885858855
Оно8885858855
04.06.2023
Автор показал одновременно суровость, строгую красоту и щедрость тайги. Необходимо любить, беречь свой край, гордиться им, как гордился и любил свой край сам автор.
Человек и природа неразрывно связаны между собой. Знание законов природы помогает человеку выжить, бережное отношение к природе помогает человеку использовать её богатства себе во благо(пища, кров, тепло)
Итогом путешествия по тайге стало открытие, которое по достоинству оценили взрослые, назвав озеро Васюткиным. Герой понял, что человек должен уметь ценить жизнь, быть настойчивым и в любых обстоятельствах, бороться и достигать победы.
4,8(86 оценок)
Ответ:
TheNaron
TheNaron
04.06.2023

Объяснение:При курінні відбувається суха дистиляція і неповне згоряння висушених тютюнових листків в незалежності від того, використовуються вони в натуральному вигляді (скручена в трубочку), в сигареті чи в сигареті і в трубці. При повільному згорянні виділяється дим, що є неоднорідною (гетерогенною) сумішшю, що складається в середньому з 60 % різних газів і 40 % мікроскопічних дьогтевих крапель (аерозолі). В газовій фракції диму міститься, крім азоту (59 %), кисню (13,4 %), ще й оксид вуглецю (IV) (13,6 %), оксид вуглецю (II) (4 %), водяна пара (1,2 %), ціаністий водень (0,1 %), оксиди азоту, акролеїн та інші речовини. Аерозольна фракція диму включає воду (1,4 %), гліцерин та спирти (0,1 %), альдегіди і кетони (0,1 %), вуглеводні (0,1 %), феноли (0,003 %), нікотин (0,002 %) та ін.

4,8(5 оценок)
Новые ответы от MOGZ: Другие предметы
logo
Вход Регистрация
Что ты хочешь узнать?
Спроси Mozg
Открыть лучший ответ