М
Молодежь
К
Компьютеры-и-электроника
Д
Дом-и-сад
С
Стиль-и-уход-за-собой
П
Праздники-и-традиции
Т
Транспорт
П
Путешествия
С
Семейная-жизнь
Ф
Философия-и-религия
Б
Без категории
М
Мир-работы
Х
Хобби-и-рукоделие
И
Искусство-и-развлечения
В
Взаимоотношения
З
Здоровье
К
Кулинария-и-гостеприимство
Ф
Финансы-и-бизнес
П
Питомцы-и-животные
О
Образование
О
Образование-и-коммуникации

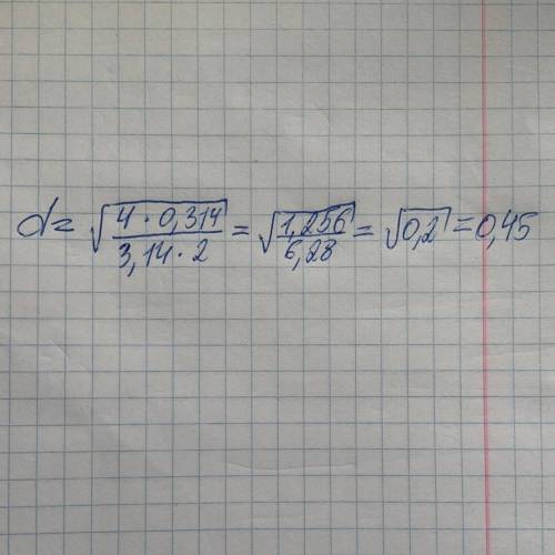
По трубопроводу подается 0,314м3/с воды. Определить диаметр трубопровода, если скорость воды U=2м/с

👇
Ответ:
Viki1303
Viki1303
23.09.2021
ответ на фото внизу:
По трубопроводу подается 0,314м3/с воды. Определить диаметр трубопровода, если скорость воды U=2м/с
4,8(51 оценок)
Открыть все ответы
Ответ:
NEASA
NEASA
23.09.2021

Пушкин (сущ.) входит (гл. =) в (предлог) нашу (мест. ~) жизнь (сущ. _._._) в самом (мест. ~)  начале (сущ. _._._) её (мест. _ _ _) и (союз) уже (част.) не покидает (=) до конца (сущ. _._._).

Повествовательное, невосклицательное, простое, двусоставное, осложнено однородными сказуемыми, распространённое, полное.

Схема: [ _ О и О ].

О - однородные сказуемые.

Главные члены предложения: подлежащее и сказуемое (=).

Второстепенные члены предложения: обстоятельство (_._._), определение (~), дополнение (_ _ _).

4,5(8 оценок)
Ответ:
LyVlAr
LyVlAr
23.09.2021

ответ:   Расстояние от Земли до Солнца = 151086956,5 км.

Объяснение: Дано:   Радиус Солнца R = 695000 км

           Угловой радиус Солнца α = 15 угловых минут

                                                   sin α= 0,0046

        Расстояние от Земли до Солнца L - ?

Из прилагаемого рисунка видно, что расстояние до Солнца можно найти по формуле L = R/tg α.  Так как для малых углов тангенс угла приблизительно равен его синусу, то расстояние от Солнца до Землю найдем по формуле L = R/sin α = 695000/0,0046 = 151086956,5 км.


Видимый угловой диаметр солнца равен 30. определить расстояние от земли до солнца, если радиус солнц
4,6(74 оценок)
Это интересно:
Новые ответы от MOGZ: Другие предметы
logo
Вход Регистрация
Что ты хочешь узнать?
Спроси Mozg
Открыть лучший ответ