М
Молодежь
К
Компьютеры-и-электроника
Д
Дом-и-сад
С
Стиль-и-уход-за-собой
П
Праздники-и-традиции
Т
Транспорт
П
Путешествия
С
Семейная-жизнь
Ф
Философия-и-религия
Б
Без категории
М
Мир-работы
Х
Хобби-и-рукоделие
И
Искусство-и-развлечения
В
Взаимоотношения
З
Здоровье
К
Кулинария-и-гостеприимство
Ф
Финансы-и-бизнес
П
Питомцы-и-животные
О
Образование
О
Образование-и-коммуникации
LiGiBi21
LiGiBi21
13.05.2021 10:27 •  Другие предметы

Программа Императорского человеколюбивого общества, утвержденная в 1804 г., определяла следующие направления

👇
Ответ:
sok2710
sok2710
13.05.2021

\sqrt{81*1.96}=\sqrt{81}*\sqrt{1.96}=9*1.4=12.6;\\

 

\sqrt{21*15*35}=\sqrt{3*7*3*5*5*7}=\sqrt{3^2*5^2*7^2}=\sqrt{3^2}*\sqrt{5^2}*\sqrt{7^2}=3*5*7=105;\\

 

\frac{\sqrt{343}}{\sqrt{7}}=\sqrt{\frac{343}{7}}=\sqrt{49}=\sqrt{7^2}=7;\\

 

\sqrt{5 \frac{19}{25} 1 \frac{13}{36}}=\sqrt{\frac{5*25+19}{25}*\frac{1*36+13}{36}}=\sqrt{\frac{144}{25}*\frac{49}{36}}=\sqrt{\frac{144}{25}}*\sqrt{\frac{49}{36}}=\sqrt{(\frac{12}{5})^2}*\sqrt{(\sqrt{\frac{7}{6}})^2}=\frac{12}{5}*\frac{7}{6}=\frac{12*7}{5*6}=\frac{2*7}{5}=\frac{14}{5}=2.8;\\

 

 \sqrt{7.2}*\sqrt{0.2}=\sqrt{7.2*0.2}=\sqrt{36*2*0.1*2*0.1}=\sqrt{6^2*2^2*0.1^2}=\sqrt{6^2}*\sqrt{2^2}*\sqrt{0.1^2}=6*2*0.1=1.2

 

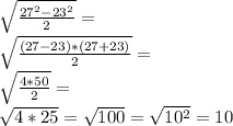
\sqrt{\frac{27^2-23^2}{2}}=\\ \sqrt{\frac{(27-23)*(27+23)}{2}}=\\ \sqrt{\frac{4*50}{2}}=\\ \sqrt{4*25}=\sqrt{100}=\sqrt{10^2}=10

4,7(34 оценок)
Открыть все ответы
Ответ:
katerok23092000
katerok23092000
13.05.2021
Преемственность во взглядах на человека и общество у гуманистов XV - XVI вв. и просветителей XVIII в. существует. Во взглядах на человека и гуманисты XV - XVI вв., и просветители XVIII, считали, что центром мироздания является человек с его неотъемлемым правом на жизнь и свободу, а также утверждали, что человек рождается свободным и равным. Кроме того, познание природы человеком рассматривалось как единственный способ приобретения знаний. В эпоху Просвещения происходил отказ от религиозного миропонимания и обращение к разуму как к единственному критерию познания человека и общества. Впервые в истории был поставлен вопрос о практическом использовании достижений науки в интересах общественного развития. Во взглядах на общество гуманисты XV - XVI вв., как и просветители XVIII века, призывали к построению гуманного общества посредством этики, основанной на человеческих и других естественных ценностях, в духе разума и свободного поиска, за счёт использования человеческих способностей. Утверждалось, что общество должно быть построено на принципах равенства, свободы и естественных прав человека.
4,6(12 оценок)
Ответ:
srigermisha1
srigermisha1
13.05.2021
Я хочу рассказать про своё путешествие по миру. Сначала лечу я долго на самолете в Париж. Как только прилетел по городу посмотрели на Эйфелевую башню, Собор Парижской Богоматери, Люксембургский сад. Мне очень было страшно на Эйфелевой башне, я боялся упасть или что сейчас разобьюсь, но там было так красиво! После Парижа полетел я в Лондон. Посмотрел там, на Биг-Бен, Собор святого Павла, Вестминстерский дворец. Мне очень понравился Собор святого Павла очень красивая конструкция. После этого я поехал на космическую базу. Там я познакомился с космонавтом, и он предложил полететь на луну. Я согласился, и вот когда мы начали взлетать я БАЦ и проснулся.
4,4(8 оценок)
Новые ответы от MOGZ: Другие предметы
logo
Вход Регистрация
Что ты хочешь узнать?
Спроси Mozg
Открыть лучший ответ