М
Молодежь
К
Компьютеры-и-электроника
Д
Дом-и-сад
С
Стиль-и-уход-за-собой
П
Праздники-и-традиции
Т
Транспорт
П
Путешествия
С
Семейная-жизнь
Ф
Философия-и-религия
Б
Без категории
М
Мир-работы
Х
Хобби-и-рукоделие
И
Искусство-и-развлечения
В
Взаимоотношения
З
Здоровье
К
Кулинария-и-гостеприимство
Ф
Финансы-и-бизнес
П
Питомцы-и-животные
О
Образование
О
Образование-и-коммуникации

Каким изображён Герасим в начале и в конце расскажи? Что изменилось в его характере и почему? Что отличало Герасима от других дворовых

👇
Ответ:
Hackerapo4ta
Hackerapo4ta
01.02.2020
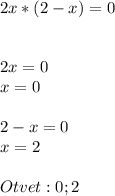
2x * (2 - x) = 0 \\ \\ \\ 2x=0 \\ x=0 \\ \\ 2-x=0 \\ x=2 \\ \\ Otvet:0;2
4,4(63 оценок)
Открыть все ответы
Ответ:
aellazhumashovа
aellazhumashovа
01.02.2020
Look at the pictures. Answer the question: What are the people in the pictures doing? Then listen to the story and follow it in the book. — Посмотрите на картинки. Ответьте на вопрос: Что делают люди на картинках? Затем послушайте историю и следуйте за ней в учебнике.
Kate and Sam visited the film studio. — Кейт и Сэм посетили киностудию.
They met the director and the stars of the film “Black Gold” — Они встретили режиссера и звезд фильма «Черное золото».
This is fantastic! — Это фантастика!
Be careful, Domino! Don’t touch. — Будь осторожен, Домино! Не трогай.
Action! – Мотор!
How did you do that? — Как ты это сделал?
Don’t worry. It isn’t real glass. It’s made of sugar. – Не беспокойся. Это не настоящее стекло. Оно сделано из сахара.

This is Josie West. She does my stunts. — Это Джози Вест. Она делает мои трюки.
I’d like to see some more of your stunts. — Я хотел бы увидеть еще некоторые из ваших трюков.
Why don’t you come with us to the oil rig next week! — Почему бы тебе не поехать с нами на нефтяную вышку на следующей неделе!
Yes, please! — Да, пожалуйста!
4,5(9 оценок)
Ответ:

Look at the picture. Answer the questions  What co

  1. What colour is the sun? — Какого цвета солнце?
    It’s purple. — Пурпурного
  2. What colour is the sky? — Какого цвета небо?
    It’s pink — Розового
  3. What colour are the clouds? — Какого цвета облака?
    They’re white — Белого
  4. What colour are the birds? — Какого цвета птицы?
    They’re brown — Коричневого
  5. What colour is the house? — Какого цвета дом?
    It’s red — Красного
  6. What colour are the trees? — Какого цвета деревья?
    They’re yellow — Желтого
  7. What colour is the grass? — Какого цвета трава?
    It’s orange — Оранжевого
  8. What colour are the flowers? — Какого цвета цветы?
    They’re blue — Голубого
  9. What colour is the cat? — Какого цвета кошка?
    It’s green. — Зеленого
4,8(46 оценок)
Это интересно:
Новые ответы от MOGZ: Другие предметы
logo
Вход Регистрация
Что ты хочешь узнать?
Спроси Mozg
Открыть лучший ответ