М
Молодежь
К
Компьютеры-и-электроника
Д
Дом-и-сад
С
Стиль-и-уход-за-собой
П
Праздники-и-традиции
Т
Транспорт
П
Путешествия
С
Семейная-жизнь
Ф
Философия-и-религия
Б
Без категории
М
Мир-работы
Х
Хобби-и-рукоделие
И
Искусство-и-развлечения
В
Взаимоотношения
З
Здоровье
К
Кулинария-и-гостеприимство
Ф
Финансы-и-бизнес
П
Питомцы-и-животные
О
Образование
О
Образование-и-коммуникации

В случае создания непосредственной угрозы жизни и здоровью людей суд вправе неначавшуюся забастовку отложить

👇
Ответ:
о23072005
о23072005
26.01.2022

x=y+1

(y+1)^2+y^2=5    y^2+2y+1+y^2-5=0    2y^2+2y-4=0    y^2+y-2=0

y1=-2   x1=-2+1=-1      (-1.-2)

y2=1    x2=1+1=2       (2.1)

4,7(97 оценок)
Ответ:
SeenL
SeenL
26.01.2022

наглядней всего ее лучше решить графически.

а аналитически будет так:

х = у + 1

 

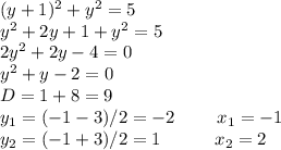
(y+1)^{2}+y^{2}=5\\ y^{2}+2y+1+y^{2}=5\\ 2y^{2}+2y-4=0\\ y^{2}+y-2=0\\ D = 1+8=9\\ y_{1}=(-1-3)/2=-2 \ \ \ \ \ \ \ x_{1} = -1\\ y_{2}=(-1+3)/2=1 \ \ \ \ \ \ \ \ \ x_{2} = 2

4,4(22 оценок)
Открыть все ответы
Ответ:
Uuuuuu2006
Uuuuuu2006
26.01.2022
Одновременное существование на одной территории различных видов и подвидов предков современного человека можно объяснить тем, что эволюция человека не представляла собой единый процесс. Одновременное существование различных видов/подвидов в пределах одного ареала закономерно, т.к. у них сходные потребности (климатические условия, наличие пещер для укрытий, близкий источник пресной воды, наличие доступных источников пищи (животные, ягоды, рыба и пр.). И в этой Ситуации возникает самая жестокая . борьба за существование - внутривидовая. В такой конкурентной борьбе выигрывает наиболее приспособленный: более разумный, более организованный и скоординированный, оснащённый более совершенными орудиями, более хитрый. Поэтому неандертальцы (физическая сила, более развитый гол. мозг) вытеснили австралопитеков, а кроманьонцы (развитая речь, коллективизм, высокоразвитое мышление) - неандертальцев.
4,8(23 оценок)
Ответ:
ser73
ser73
26.01.2022
Одновременное существование на одной территории различных видов и подвидов предков современного человека можно объяснить тем, что эволюция человека не представляла собой единый процесс. Одновременное существование различных видов/подвидов в пределах одного ареала закономерно, т.к. у них сходные потребности (климатические условия, наличие пещер для укрытий, близкий источник пресной воды, наличие доступных источников пищи (животные, ягоды, рыба и пр.). И в этой ситуации возникает самая жестокая борьба за существование – внутривидовая. В такой конкурентной борьбе выигрывает наиболее приспособленный : более разумный, более организованный и скоординированный, оснащённый более совершенными орудиями, более хитрый. Поэтому неандертальцы (физическая сила, более развитый гол. мозг ) вытеснили австралопитеков, а кроманьонцы (развитая речь, коллективизм, высокоразвитое мышление) – неандертальцев.
4,5(100 оценок)
Это интересно:
Новые ответы от MOGZ: Другие предметы
logo
Вход Регистрация
Что ты хочешь узнать?
Спроси Mozg
Открыть лучший ответ