М
Молодежь
К
Компьютеры-и-электроника
Д
Дом-и-сад
С
Стиль-и-уход-за-собой
П
Праздники-и-традиции
Т
Транспорт
П
Путешествия
С
Семейная-жизнь
Ф
Философия-и-религия
Б
Без категории
М
Мир-работы
Х
Хобби-и-рукоделие
И
Искусство-и-развлечения
В
Взаимоотношения
З
Здоровье
К
Кулинария-и-гостеприимство
Ф
Финансы-и-бизнес
П
Питомцы-и-животные
О
Образование
О
Образование-и-коммуникации

Первые сертификаты на системы качества выдавались _ предприятиям, создававшим свои системы качества на основе ранее действовавших

👇
Ответ:
belevich031197
belevich031197
21.02.2022

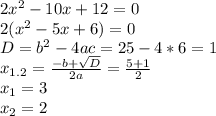
2х2-10х+12=0 | :2

x2-5x+6=0

Д= 25-4*6=1,    2 корня

х(1)=(5+1)/2=3

х(2)=(5-1)/2=2

2х2-10х+12=2(х-2)(х-3)

4,4(65 оценок)
Ответ:
zzsasz33
zzsasz33
21.02.2022

2x^{2} -10x+12=0\\ 2(x^{2}-5x+6)=0\\ D=b^{2}-4ac=25-4*6=1\\ x_{1.2}=\frac{-b+\-\sqrt{D}}{2a}=\frac{5+\-1}{2}\\ x_{1}=3\\ x_{2}=2

4,8(19 оценок)
Открыть все ответы
Ответ:
Artemis45677654
Artemis45677654
21.02.2022

ответ: в научном плане человечество стремится найти в космосе ответ на такие принципиальные вопросы, как строение и эволюция вселенной, образование солнечной системы, происхождение и пути развития жизни. от гипотез о природе планет и строении космоса, люди перешли к всестороннему и непосредственному изучению небесных тел и межпланетного пространства с ракетно-космической техники.

объяснение:

в освоении космоса человечеству предстоит изучит различные области космического пространства: луну, другие планеты и межпланетное пространство.

4,6(29 оценок)
Ответ:
teenwolfgrrArina
teenwolfgrrArina
21.02.2022

На уровень развития и проявления двигательных оказывают влияние, с одной стороны, средовые факторы (социально-бытовые условия жизни, климатические и географические ус­ловия, материальное обеспечение мест занятий, методика их развития и т.п.), а с другой – наследственные факторы («моторные» задатки), кото­рые обусловливают специфическую реакцию организма на различные воз­действия. К «моторным» задаткам относят:

– анатомо-морфологические особенности мозга и нервной системы (свойства нервных процессов — сила, подвижность, урав­новешенность, индивидуальные варианты строения коры, степень функциональной зрелости ее отдельных областей и др.);

– физиологические (особенности сердечно-сосудистой и дыхательной систем — максимальное потребление кислорода, показатели периферического кровообращения и др.);

– биологические (особенности биологического окисления, эндокринной регуляции, обмена веществ, энергетики мышечно­го сокращения и др.);

– телесные (длина тела и конечностей, масса тела, масса мы­шечной и жировой ткани и др.);

– хромосомные (генные).

На развитие двигательных влияют также и психо­динамические задатки (свойства психодинамических процессов, темперамент, характер, особенности регуляции и саморегуляции психических состояний и др.).

Объяснение:

4,5(53 оценок)
Это интересно:
Новые ответы от MOGZ: Другие предметы
logo
Вход Регистрация
Что ты хочешь узнать?
Спроси Mozg
Открыть лучший ответ