М
Молодежь
К
Компьютеры-и-электроника
Д
Дом-и-сад
С
Стиль-и-уход-за-собой
П
Праздники-и-традиции
Т
Транспорт
П
Путешествия
С
Семейная-жизнь
Ф
Философия-и-религия
Б
Без категории
М
Мир-работы
Х
Хобби-и-рукоделие
И
Искусство-и-развлечения
В
Взаимоотношения
З
Здоровье
К
Кулинария-и-гостеприимство
Ф
Финансы-и-бизнес
П
Питомцы-и-животные
О
Образование
О
Образование-и-коммуникации

Представителями растений и животных на материке Антарктида являются пингвин и лишайники тюлень и мхи морж и лишайники

👇
Ответ:
aysol
aysol
20.07.2022
Найдем силу Архимеда (силу выталкивания)
F=PgV, где Р - плотность воды, V - объем погруженной части тела
F= 540000Н
F=mg
m=54000кг
Тогда m=P*V
V=54000/900=60 м³
ответ: V=60 м³
4,7(56 оценок)
Ответ:
riga04
riga04
20.07.2022

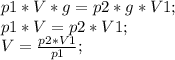
Дано:

V1=54 м^3;

p1=900 кг/м^3.

p2=1000 кг/м^3.

V=?
_____

Решение:
Льдина плавает в воде - значит сила тяжести, равна силе архимеда:
F(t)=F(a);\\
Где сила тяжести равна:
F(t)=m*g=p1*V*g;\\

Сила Архимеда равна:
F(a)=p2*g*V1;\\

Получаем:
p1*V*g=p2*g*V1;\\ p1*V=p2*V1;\\ V=\frac{p2*V1}{p1};\\

Считаем:

V=(1000*54)/900=60 м^3. - Объем всей льдины.

Можно дополнительно найти объем надводной части:

V2=V-V1=60-54=6 м^3.

ответ: V=60 м^3.

 

4,5(73 оценок)
Открыть все ответы
Ответ:
ученик1877
ученик1877
20.07.2022

неспецифической реакцией организма на любое предъявленное требование. То есть любое изменение условий, требующее адаптации организма, является стрессом. При этом изменение может быть вызвано как негативными, так и позитивными факторами. Негативными эти изменения становятся тогда, когда их становится слишком много и организм не успевает адаптироваться к ним. Например, хронический стресс на работе, когда человек месяцами находится в нервном и напряженном состоянии, вызывает истощение организма. Позитивный стресс (позитивные эмоции, встречи с друзьями и т.д.) тоже является стрессом для организма, но он полезен и нужен. Более того, стресс необходим для выживания. По мере того как наш организм адаптируется к окружающей среде, он становится сильнее, выносливее, более выживаемым.

Мы можем говорить о том, что простое напряжение перерастает в стресс в обычном понимании этого слова, когда это напряжение длится слишком долго. Человек постоянно при к окружающей среде за счет глубинной энергии при Если стрессовых факторов становится слишком много, эта энергия исчерпывается, и тогда стрессом становится любая незначительная неприятность

Объяснение:

потому что каждый человек реагирует на один и тот же фактор по-разному, в зависимости от того, насколько он готов адаптироваться к окружающей среде. Исходя из того, что этот порог является сугубо индивидуальным, важно, чтобы каждый человек пополнял свою глубинную энергию адаптации, чтобы у него всегда был внутренний психологический резерв, определяющий адаптироваться, реагировать на изменяющиеся факторы, но при этом не чувствовать дискомфорт

4,6(87 оценок)
Ответ:
собачка34
собачка34
20.07.2022
Принципы охраны природы
1) Выявления природы имеют для человека множественное значение и должны оцениваться с разных точек зрения. К каждому явлению необходимо подходить с учетом интересов различных отраслей производства и сохранения восстановительной силы самой природы.
2)  Второй принцип заключается в необходимости строгого учета местных условий при использовании и охране природного ресурса. Этот принцип называют правилом региональности. В большей степени он касается использования водных и лесных богатств.
3) Третий принцип состоит в том, что охрана одного объекта означает одновременно охрану и других объектов, тесно с ним связанных.
4,7(99 оценок)
Это интересно:
Новые ответы от MOGZ: Другие предметы
logo
Вход Регистрация
Что ты хочешь узнать?
Спроси Mozg
Открыть лучший ответ