М
Молодежь
К
Компьютеры-и-электроника
Д
Дом-и-сад
С
Стиль-и-уход-за-собой
П
Праздники-и-традиции
Т
Транспорт
П
Путешествия
С
Семейная-жизнь
Ф
Философия-и-религия
Б
Без категории
М
Мир-работы
Х
Хобби-и-рукоделие
И
Искусство-и-развлечения
В
Взаимоотношения
З
Здоровье
К
Кулинария-и-гостеприимство
Ф
Финансы-и-бизнес
П
Питомцы-и-животные
О
Образование
О
Образование-и-коммуникации
Mrmors
Mrmors
11.04.2020 10:59 •  Другие предметы

Область околоземного пространства, физические свойства которой определяются магнитным полем Земли и его взаимодействием с потоками

👇
Ответ:
angelina455
angelina455
11.04.2020
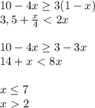
10-4x \geq 3 (1-x) \\ 3,5+ \frac{x}{4} \ \textless \ 2x \\ \\ 10 - 4x \geq 3 - 3x \\ 14 + x \ \textless \ 8x \\ \\ x \leq 7 \\ x \ \textgreater \ 2

x ∈ (2; 7]

Целые решения: 3, 4, 5, 6, 7
4,6(70 оценок)
Открыть все ответы
Ответ:
ghosthog
ghosthog
11.04.2020
Мораль басни-это авторский вывод, то что автор хочет сказать читателям.
1. "Ворона и Лисица" – мораль басни не покупайся на лесть, льстецы обманщики и любыми способами достигают своих целей. Политическая подоплёка -льстецы во власти, бюрократы и казнокрады. Крылов переводит проблему льстецов на уровень государства.
2. "Свинья под дубом" – "не руби сук , на котором сидишь". Свинья живёт за "счёт дуба", она питается желудями, а портя корни дерева, уничтожает свой источник пропитания. Крылов высмеивает неблагодарных и глупых людей, которые уничтожают то, за счёт чего живут. Невежество ведёт к разрушениям, уничтожению ценностей, которые сами невежды создать не могут, зато лихо ломают и уничтожают блага, сделанные другими.
3. "Волк и Ягнёнок" – мораль басни в вине слабого перед сильным, сила одерживает вверх. Скрытая мораль, не указанная автором, это произвол властей и бесправие простого народа, перед всласть имущими. Желание оставаться хорошими, при плохих поступках-это нормальное желание чиновников любых времён. Оправдать себя за счёт закона, быть "белыми и пушистыми"-проблема времён Крылова, когда сильные мира сего, власть имущие сановники творили беспредел, обирали бедных, обижали слабых, прикрываясь при этом законом.
4,5(86 оценок)
Ответ:
justlikekatya
justlikekatya
11.04.2020
В басне А.И. Крылова "Волк и Ягнёнок" Волк обвиняет в том, что он "смеет чистое питьё мутить с песком и илом". На это Ягненок возражает Волку и говорит, что он пьет от него ниже по ручью "шагов на сто" и потому никак не может мутить ему воду. Волк воспринимает его слова как обвинение в свой адрес и дерзость: "Поэтому я лгу! Негодный! слыхана ль такая дерзость в свете!" Затем Волк "вспоминает" что прошлым летом Ягненок ему нахамил, а услышав, что ему ещё нет года, говорит, что это был его брат или кум, не обращая внимания на то, что Ягнёнок говорит о том, что у него нет братьев. Последним решающим обвинением Волка является его заявление: "ты виноват уж тем, что хочется мне кушать".
4,5(3 оценок)
Это интересно:
Новые ответы от MOGZ: Другие предметы
logo
Вход Регистрация
Что ты хочешь узнать?
Спроси Mozg
Открыть лучший ответ