М
Молодежь
К
Компьютеры-и-электроника
Д
Дом-и-сад
С
Стиль-и-уход-за-собой
П
Праздники-и-традиции
Т
Транспорт
П
Путешествия
С
Семейная-жизнь
Ф
Философия-и-религия
Б
Без категории
М
Мир-работы
Х
Хобби-и-рукоделие
И
Искусство-и-развлечения
В
Взаимоотношения
З
Здоровье
К
Кулинария-и-гостеприимство
Ф
Финансы-и-бизнес
П
Питомцы-и-животные
О
Образование
О
Образование-и-коммуникации
Nail20041
Nail20041
01.07.2022 17:06 •  Другие предметы

Де утворюються статеві клітини папоротей і які умови необхідні для запліднення?

👇
Ответ:
vfggggggd
vfggggggd
01.07.2022
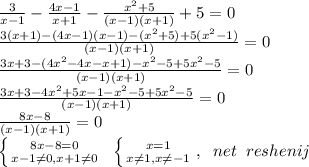
\frac{3}{x-1}-\frac{4x-1}{x+1}-\frac{x^2+5}{(x-1)(x+1)}+5=0\\\frac{3(x+1)-(4x-1)(x-1)-(x^2+5)+5(x^2-1)}{(x-1)(x+1)}=0\\\frac{3x+3-(4x^2-4x-x+1)-x^2-5+5x^2-5}{(x-1)(x+1)}=0\\\frac{3x+3-4x^2+5x-1-x^2-5+5x^2-5}{(x-1)(x+1)}=0\\\frac{8x-8}{(x-1)(x+1)}=0\\ \left \{ {{8x-8=0} \atop {x-1\ne 0,x+1\ne 0}} \right. \;\; \left \{ {{x=1} \atop {x\ne 1,x\ne -1}} \right. ,\;\; net\;\; reshenij
4,5(51 оценок)
Ответ:
дашуля296
дашуля296
01.07.2022
Окончательный ответ: выражение корней не имеет

Де утворюються статеві клітини папоротей і які умови необхідні для запліднення?
4,5(98 оценок)
Открыть все ответы
Ответ:
mafeei
mafeei
01.07.2022

Магнитотеллурическое зондирование (МТЗ) Земли — один из методов индукционных зондирований Земли, использующий измерения естественного электромагнитного поля. Применяется при геофизических исследованиях. Метод создан в 1950 году[1] советским геофизиком А. Н. Тихоновым. Существенный вклад в развитие метода также внёс французский учёный Л. Каньяр[2]. Значительный вклад в теорию МТЗ внесли М. Н. Бердичевский, В. И. Дмитриев[3]; в настоящее время метод широко используется как один из методов разведочной геофизики и физики Земли, разрабатываются новые повышения точности исследований в работах учёных из таких стран, как Россия, США, Франция, Китай[4].

4,4(17 оценок)
Ответ:
ruslanmorozko
ruslanmorozko
01.07.2022

В жизненном периоде развития человека существуют этапы развития, когда происходит увеличение массы тела, рост в длину, в ширину, формирование особенностей организма, осанки, биохимических, физиологических функций. В данном цикле формируется тип телосложения.

Недостатками физического развития можно назвать следующие параметры: излишний вес, недостаточный вес, проблемы с осанкой и т.д.

Тип телосложения во многом определяется генами, передающимися по наследству от родителей. Но при желании некоторые черты телосложения подвергаются коррекции, которая достигается при правильном применении средств физической культуры. Существенное влияние физические упражнения оказывают на формирование скелета: можно убрать искривления позвоночника, улучшить осанку, повысить обменные процессы, в т.ч. кальция, который определяет прочность костей. Не следует также забывать, что наилучших результатов при коррекции телосложения средствами физической культуры достигаются в детском и подростковом возрасте. В данный период происходит развитие организма и нежелательные черты телосложения легко корректируются. Из всех признаков физического развития труднее всего исправлению поддается рост (длина тела), а легче - вес (масса тела), а также отдельные антропометрические показатели (окружность грудной клетки, бедер и т.д.).

На функции внутренних органов, дыхательной и сердечно-сосудистой системы, отрицательно влияет дефекты осанки, негативно влияет на физическую и умственную работо человека.

В укреплении здоровья, коррекции осанки и телосложения физическая культура имеет немаловажное значение. Также влияет она и на повышение психической устойчивости и общей работо

Под коррекцией телосложения средствами физкультуры подразумевается регулирование дефектов осанки и массы тела.

Излишки жировой ткани при занятиях физкультурой преобразуются в необходимое количество энергии для выполнения упражнений. В результате чего происходит уменьшение избыточной массы тела, меняя телосложения в сторону стройной фигуры. Лучший тип телосложения может быть достигнут с увеличения массы тела за счет роста мышечной ткани. На придут бодибилдинг и тяжелая атлетика, наиболее приемлемые виды спорта для юношей. Для девушек данные виды спорта не подходят, т.к. они придают телу мужеподобные черты. Более приемлемый вариант - занятия легкой атлетикой, различными ее видами. Симметричное тело и правильная осанка могут быть достигнуты при занятия бегом. Занятия прыжками снижению массы тела, развитию грудной клетки, увеличению длины ног (по отношению к туловищу). При занятиях гимнастикой формируется стройная фигура посредствам достижения суженного таза, небольшой массы тела, длинных тонких ног. Симметричное тело, развитие грудной клетки, правильная красивая осанки, стройные ноги достичь фигурное катание или синхронное плавание.

На стимуляцию роста благоприятно влияют спортивные игры (волейбол, баскетбол). Специальные ежедневные прыжковые упражнения (многократные подскоки) также росту.

При прохождения тестов на общую физическую подготовленность, в первый же месяц каждый может оценку развития у него общей выносливости, силы, скоростно-силовых качеств, что выбрать тот вид спорта для коррекции физического развития и исправить некоторые недостатки телосложения.

Физическое развитие представляет собой изменение функций и форм человеческого организма в течение жизни. Его уровень и особенности определяется с антропометрии, которая представляет собой систему измерений и исследований в антропологии линейных размеров и других физических характеристик тела.

4,5(42 оценок)
Это интересно:
Новые ответы от MOGZ: Другие предметы
logo
Вход Регистрация
Что ты хочешь узнать?
Спроси Mozg
Открыть лучший ответ