М
Молодежь
К
Компьютеры-и-электроника
Д
Дом-и-сад
С
Стиль-и-уход-за-собой
П
Праздники-и-традиции
Т
Транспорт
П
Путешествия
С
Семейная-жизнь
Ф
Философия-и-религия
Б
Без категории
М
Мир-работы
Х
Хобби-и-рукоделие
И
Искусство-и-развлечения
В
Взаимоотношения
З
Здоровье
К
Кулинария-и-гостеприимство
Ф
Финансы-и-бизнес
П
Питомцы-и-животные
О
Образование
О
Образование-и-коммуникации
emilsalimov
emilsalimov
02.12.2021 22:46 •  Другие предметы

Елемент утворює летку сполуку з Гідрогеном складу НЕ. Позначте формулу вищого оксиду цього елемента: А. ЕО. Б. ЕО2. В. Е2О . Г. ЕО3

👇
Ответ:
KristinaZenchenko
KristinaZenchenko
02.12.2021
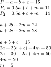
Пусть медиана равна m,  стороны пусть равны a,b,c
P=a+b+c=15\\
P_{1}=0.5a+b+m=11\\
P_{2}=0.5a+c+m=14\\
\\
a+2b+2m=22\\
a+2c+2m=28\\
\\
a+b+c=15\\
2a+2(b+c)+4m=50\\
2a+30-2a+4m=50\\
4m=20\\
m=5
Равна 5 
4,5(65 оценок)
Открыть все ответы
Ответ:
д2и0а0н6а
д2и0а0н6а
02.12.2021

Образ Джулії Новеллі:

Джулія Новеллі – італійка; скориставшись вибухом, як і Іван, вона втікає з табору.

Письменник з любов’ю змальовує Джулію, підкреслюючи її красу, тендітність, витонченість: у неї чорні виразні очі, густе волосся, гнучка і струнка фігура, дзвінкий сміх. Завдяки образу Джулії Новеллі автор спонукає свого героя пройти перевірку коханням.

Образ Івана Терешка:

В центрі розповіді – звичайний рядовий боєць Іван Терешка. Він родом з Білорусії, це фізично міцний 25-річний хлопець; знайома з дитинства селянська праця загартувала його, зробила сильним і витривалим.

В полку він нічим не виділявся серед інших піхотинців, за колишні бої отримав три подяки від командування та дві медалі «За відвагу» і думав, що на більше не здатний. Волею випадку Іван опинився в полоні у німців.

Івана Терешко, який і в таборі не дозволив себе затоптати, роздавити в нім людину, а після того, як ковтнув повітря свободи і любові, що став ще сильніше, твердіше духом, — він готовий до смертельної сутички з фашистами. Доля підготувала цій людині щось страшніше за смерть: «вибір» Івана, можливо, найнестерпніший для людини, найстрашніший з усіх, які є в повістях Бикова.

4,4(28 оценок)
Ответ:
123451531
123451531
02.12.2021

День независимости Казахстана - главный национальный праздник Республики Казахстан. Эта дата отмечается в Казахстане ежегодно 16 декабря.

Дата для проведения «Дня независимости Казахстана» была выбрана не случайно. 16 декабря 1991 года Верховный Совет Казахстана принял закон о Независимости и государственном суверенитете Республики. После распада СССР Казахская Советская Социалистическая Республика стала последней из союза на постсоветском пространстве, провозгласившей свой государственный суверенитет.

В День независимости Казахстана по

Объяснение:

сам говорил поболще слов

4,5(88 оценок)
Это интересно:
Новые ответы от MOGZ: Другие предметы
logo
Вход Регистрация
Что ты хочешь узнать?
Спроси Mozg
Открыть лучший ответ