
Объяснение:
В мае 1991 года техасская студия Id Software выпустила на ПК игру под названием Hovertank 3D, которая стала прорывом в 3D графике и фактически создала жанр шутера от первого лица. В ней использовался движок Криса Грина, созданный в 1990 году. Он позволял накладывать на каждый трёхмерный объект разнообразные текстуры, превращая одинаковые модели в визуально разные. В её состав входили программисты Джон Ромеро и Джон Кармак, геймдизайнер Том Холл, художник Адриан Кармак и менеджер Джей Уилбур.
2 вариант:
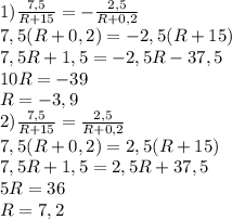
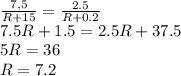
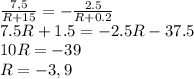
ответ: 7,2 и -3,9