М
Молодежь
К
Компьютеры-и-электроника
Д
Дом-и-сад
С
Стиль-и-уход-за-собой
П
Праздники-и-традиции
Т
Транспорт
П
Путешествия
С
Семейная-жизнь
Ф
Философия-и-религия
Б
Без категории
М
Мир-работы
Х
Хобби-и-рукоделие
И
Искусство-и-развлечения
В
Взаимоотношения
З
Здоровье
К
Кулинария-и-гостеприимство
Ф
Финансы-и-бизнес
П
Питомцы-и-животные
О
Образование
О
Образование-и-коммуникации
tvoibati00
tvoibati00
21.02.2020 05:01 •  Другие предметы

Министр иностранных дел ответил категорическим отказом на аннулировать распоряжение о приостановлении попыток дезавуировать заявление

👇
Ответ:
strimersakarinа
strimersakarinа
21.02.2020
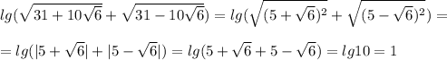
   lg(\sqrt{31+10\sqrt6}+\sqrt{31-10\sqrt6})=lg(\sqrt{(5+\sqrt6)^2}+\sqrt{(5-\sqrt6)^2})=\\\\=lg(|5+\sqrt6|+|5-\sqrt6|)=lg(5+\sqrt6+5-\sqrt6)=lg10=1
4,7(8 оценок)
Открыть все ответы
Ответ:

Производственный брак – это изделия, детали, услуги, узлы, полуфабрикаты, имеющие качество, не соответствующее техническим условиям или стандартам. Их нельзя применять по назначению или можно эксплуатировать только после исправления дефектов.

Таким образом, браком в производстве считают продукцию, полуфабрикаты, детали, узлы и работы, которые не соответствуют стандартам, техническим условиям, строительным нормам (правилам) и не могут быть использованы по своему прямому назначению без дополнительных затрат на их исправление.

Отметим, что в каждой отрасли промышленности свои виды брака. Например, в нефтепереработке и нефтехимии браком в производстве в основном считаются такие продукция или полуфабрикаты, которые не соответствуют по качеству установленным стандартам или техническим условиям и требуют для своего исправления дополнительной (повторной) переработки.

На предприятиях черной и цветной металлургии браком считается продукция, технические показатели которой (качество, размеры, форма и пр.) не соответствуют показателям, установленным стандартом или техническим условием, и которая не может быть использована по своему прямому назначению либо принята по другим стандартам или техническим условиям (по химсоставу, механическим свойствам, размеру, форме, весу, отделке, допускам и т.д.) либо может быть использована лишь после исправления.

Сделай лучшим ответом<3

4,5(55 оценок)
Ответ:
DevA777
DevA777
21.02.2020

1)Ножи, железки стругов и долота лучше всего точить на точильном круге. Нож прикладывают острием к середине круга. Если вы положите нож на точильный круг, то получится широкое лезвие. Если на лезвии имеются зазубрины, то поставьте нож перпендикулярно к точильному кругу.

2)доводку и правку лезвий выполняют после грубой заточки для получения более острой и гладкой поверхности лезвия. довадка выполняется мелкозернистым образивом а правка более всего выполняется на войлочном круге с пастой ГОИ

3)Прифуговка — выравнивание по одной линии вершинок зубьев посредством срезания их напильником при его движении вдоль зубьев.

4)в процессе пиления зубья затапливается, происходит закругление передних и боковых кромок зуба. Чтобы восстановить режущую зубьев, Приходится их затачивать, разводить, А в тяжелых случаях и нарезать новые зубья. Затачивают зубья пил напильниками. При этом должны оставаться неизменными профиль, чтоб и высота зубьев. Зубьев прямой заточкой затачивается, сняв металл одновременно с передней и задней грани. Затачивают зубья для продольной и поперечной распилов, тогда угол между передней и задней гранями в соседнем зубе в является 60 градусов, что соответствует углу профиля сечения напильника.

5)в процессе пиления зубья затапливается, происходит закругление передних и боковых кромок зуба. Чтобы восстановить режущую зубьев, Приходится их затачивать, разводить, А в тяжелых случаях и нарезать новые зубья. Затачивают зубья пил напильниками. При этом должны оставаться неизменными профиль, чтоб и высота зубьев. Зубьев прямой заточкой затачивается, сняв металл одновременно с передней и задней грани. Затачивают зубья для продольной и поперечной распилов, тогда угол между передней и задней гранями в соседнем зубе в является 60 градусов, что соответствует углу профиля сечения напильника.

7)Дерево сжимает зубья непозваляя её двигаться

Объяснение:

4,7(10 оценок)
Новые ответы от MOGZ: Другие предметы
logo
Вход Регистрация
Что ты хочешь узнать?
Спроси Mozg
Открыть лучший ответ