М
Молодежь
К
Компьютеры-и-электроника
Д
Дом-и-сад
С
Стиль-и-уход-за-собой
П
Праздники-и-традиции
Т
Транспорт
П
Путешествия
С
Семейная-жизнь
Ф
Философия-и-религия
Б
Без категории
М
Мир-работы
Х
Хобби-и-рукоделие
И
Искусство-и-развлечения
В
Взаимоотношения
З
Здоровье
К
Кулинария-и-гостеприимство
Ф
Финансы-и-бизнес
П
Питомцы-и-животные
О
Образование
О
Образование-и-коммуникации
vvolkova
vvolkova
21.02.2020 05:01 •  Другие предметы

Рабочым трэба пафарбаваць 100 м плота. Да абеду яны пафарбавалі 30 м, пасля абеду — столькі ж метраў. Колькі метраў плота засталося пафарбаваць?

👇
Ответ:
volkow2711ovuu5e
volkow2711ovuu5e
21.02.2020
                                                        Решение :

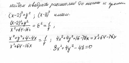
Смотри вложение:....

Рабочым трэба пафарбаваць 100 м плота. Да абеду яны пафарбавалі 30 м, пасля абеду — столькі ж метраў
4,8(20 оценок)
Открыть все ответы
Ответ:
dinara169
dinara169
21.02.2020

из-за столкновения Титаника об айсберг, из-за которой корабль начал тонуть, часть людей затопило в блоке, что отвечает за движение транспорта (двигатель короче)). этажи, где находились бедные люди, запирались, еще одна часть погибла тоже утонув. Нехватало шлюпок. когда корабль тонул, он образовал воронку, и некоторые люди, которые оказались без жилета, утонули, а также часть людей просто упала с корабля и разбилась, когда тот тонул. большая часть людей замерзла(((...

можешь посмотреть фильм Титаник или Рен тв ?)

4,6(67 оценок)
Ответ:
julia071201
julia071201
21.02.2020

Наука не ограничивается накоплением знаний, но стремится всегда к их упорядочению и обобщению в научных гипотезах.

Я считаю, что наука – это сильное оружие в руках человека. И суть его в абсолютно достоверных словах Булгакова С.Н. Одних знаний недостаточно. Как написано в Библии: «Знания надмевают, а мудрость назидает.» Не имеет значение, какую мы разбираем сферу. Любая наука ставит перед собой цель, как можно тщательнее исследовать определенный предмет или явление. В этом нам различные методы, такие как анализ, синтез, сравнение и другие. Если мы не будем работать над полученной информацией, то она так и останется сырым материалом без какой-либо пользы для общества и нашего познания мира. А чтобы докопаться до истины, нам просто необходимо расставить все на свои места, выделить основные аспекты, разбить их, опираясь на характерные черты.

4,8(8 оценок)
Новые ответы от MOGZ: Другие предметы
logo
Вход Регистрация
Что ты хочешь узнать?
Спроси Mozg
Открыть лучший ответ