М
Молодежь
К
Компьютеры-и-электроника
Д
Дом-и-сад
С
Стиль-и-уход-за-собой
П
Праздники-и-традиции
Т
Транспорт
П
Путешествия
С
Семейная-жизнь
Ф
Философия-и-религия
Б
Без категории
М
Мир-работы
Х
Хобби-и-рукоделие
И
Искусство-и-развлечения
В
Взаимоотношения
З
Здоровье
К
Кулинария-и-гостеприимство
Ф
Финансы-и-бизнес
П
Питомцы-и-животные
О
Образование
О
Образование-и-коммуникации

Прыгадайце прыкметы і павер’і, якія вы чулі раней.

👇
Ответ:
ellaandharley30
ellaandharley30
11.12.2021
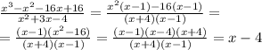
\frac{x^{3}-x^{2}-16x+16}{x^{2}+3x-4}=\frac{x^{2}(x-1)-16(x-1)}{(x+4)(x-1)}=\\\
=\frac{(x-1)(x^{2}-16)}{(x+4)(x-1)}=\frac{(x-1)(x-4)(x+4)}{(x+4)(x-1)}=x-4
4,4(76 оценок)
Открыть все ответы
Ответ:
Larakf
Larakf
11.12.2021
Дано: m(Ag )=5,4 г; m = 25 г.
Найти: ω(Ag2S) =?
Решение: определяем количество вещества серебра, находящегося в аргентите: ν(Ag ) =m(Ag )/M(Ag )  = 5,4/108 = 0,05 моль.
Из формулы Ag2S следует, что количество вещества аргентита в два раза меньше количества вещества серебра. Определяем количество вещества аргентита:
ν( Ag2S)= 0,5 • ν (Ag) = 0,5 • 0,05 = 0,025 моль
Рассчитываем массу аргентита:
m(Ag2S) = ν( Ag2S) • М(Ag2S) = 0,025• 248 = 6,2 г.
Теперь определяем массовую долю аргентита в образце горной породы, массой 25 г.
ω(Ag2S) = m(Ag2S)/ m = 6,2/25 = 0,248 = 24,8%.
Вывод формул соединений
4,5(44 оценок)
Ответ:
Kseniyagapchuk
Kseniyagapchuk
11.12.2021
Дано: m(Ag )=5,4 г; m = 25 г.
Найти: ω(Ag2S) =?
Решение: определяем количество вещества серебра, находящегося в аргентите: ν(Ag ) =m(Ag )/M(Ag )  = 5,4/108 = 0,05 моль.
Из формулы Ag2S следует, что количество вещества аргентита в два раза меньше количества вещества серебра. Определяем количество вещества аргентита:
ν( Ag2S)= 0,5 • ν (Ag) = 0,5 • 0,05 = 0,025 моль
Рассчитываем массу аргентита:
m(Ag2S) = ν( Ag2S) • М(Ag2S) = 0,025• 248 = 6,2 г.
Теперь определяем массовую долю аргентита в образце горной породы, массой 25 г.
ω(Ag2S) = m(Ag2S)/ m = 6,2/25 = 0,248 = 24,8%.
Вывод формул соединений
4,6(4 оценок)
Это интересно:
Новые ответы от MOGZ: Другие предметы
Полный доступ к MOGZ
Живи умнее Безлимитный доступ к MOGZ Оформи подписку
logo
Вход Регистрация
Что ты хочешь узнать?
Спроси Mozg
Открыть лучший ответ