М
Молодежь
К
Компьютеры-и-электроника
Д
Дом-и-сад
С
Стиль-и-уход-за-собой
П
Праздники-и-традиции
Т
Транспорт
П
Путешествия
С
Семейная-жизнь
Ф
Философия-и-религия
Б
Без категории
М
Мир-работы
Х
Хобби-и-рукоделие
И
Искусство-и-развлечения
В
Взаимоотношения
З
Здоровье
К
Кулинария-и-гостеприимство
Ф
Финансы-и-бизнес
П
Питомцы-и-животные
О
Образование
О
Образование-и-коммуникации

Недостатками централизованных САОИ являются групповой режим обработки информации отделение пользователя от системы недостаточные

👇
Ответ:
плртпломм
плртпломм
01.08.2020
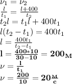
Пусть l - длина поезда, тогда
 \nu_1=\nu_2\\
 \frac{l}{t_1}= \frac{l+400}{t_2} \\
t_2l=t_1l+400t_1\\
l(t_2-t_1)=400t_1\\
l= \frac{400t_1}{t_2-t_1}\\
\bf{l= \frac{400*10}{30-10}=200_M}\\
\nu= \frac{l}{t_1}\\
\bf {\nu= \frac{200}{10}=20 \frac{_M}{c} }
4,4(63 оценок)
Открыть все ответы
Ответ:
Eazyeazy
Eazyeazy
01.08.2020
I can see a frightening man among the graves. He is in chains and is wearing rags. He is very dirty and he looks very dangerous. I can smell his dirty clothes and his foul breath. I can hear his teeth chattering and his voice growling. I can touch the cold tombstone I am sitting on. I feel frightened and wish I had stayed at home.
Я вижу ужасного человека среди могил. Он в цепях и на нем лохмотья. Он очень грязный и смотрит очень опасно. Я чувствую, как пахнет его грязная одежда, и у него отвратительное дыхание. Я слышу, как стучат его зубы и его голос рычит. Я могу потрогать холодную надгробную плиту, на которой я сижу. Я чувствую страх, и я бы хотел быть дома.
4,8(76 оценок)
Ответ:
Anna19072003
Anna19072003
01.08.2020
Григ «писал и видел, как навстречу ему бежит девушка с зелеными сияющими глазами. Она обнимает его за шею и прижимается горячей щекой к его седой небритой щеке». «Ты как солнце, — говорит ей Григ. — Как нежный ветер и раннее утро. У тебя на сердце расцвел белый цветок и наполнил все твое существо благоуханием весны. Я видел жизнь... она удивительна и прекрасна. Я старик, но я отдал молодежи жизнь, работу, талант. Поэтому я, может быть, даже счастливее тебя, Дагни...»
Его, каждый по-своему, слушали синицы на дереве, матросы из порта, прачка из соседнего дома, сверчок, снег и Золушка. «Синицы волновались... Загулявшие матросы рассаживались на ступеньках дома и слушали, всхлипывая. Прачка вытирала ладонью покрасневшее лицо и покачивала головой. Сверчок вылезал из трещины в кафельной печке и подглядывал в щелку за Григом.
Падавший снег повисал в воздухе, чтобы послушать зэон, лившийся ручьями из дома. А Золушка смотрела, улыбаясь, на пол. Хрустальные туфельки у ее ног вздрагивали в ответ на аккорды».
4,7(74 оценок)
Это интересно:
Новые ответы от MOGZ: Другие предметы
logo
Вход Регистрация
Что ты хочешь узнать?
Спроси Mozg
Открыть лучший ответ