М
Молодежь
К
Компьютеры-и-электроника
Д
Дом-и-сад
С
Стиль-и-уход-за-собой
П
Праздники-и-традиции
Т
Транспорт
П
Путешествия
С
Семейная-жизнь
Ф
Философия-и-религия
Б
Без категории
М
Мир-работы
Х
Хобби-и-рукоделие
И
Искусство-и-развлечения
В
Взаимоотношения
З
Здоровье
К
Кулинария-и-гостеприимство
Ф
Финансы-и-бизнес
П
Питомцы-и-животные
О
Образование
О
Образование-и-коммуникации
seal2004
seal2004
18.02.2022 16:19 •  Другие предметы

Почему расы нельзя считать разными видами? Приведите доказательства в пользу своей точки зрения.

👇
Ответ:
valdan2008
valdan2008
18.02.2022
3\cdot9^x-28\cdot 3^x+9 \leq 0

Рассмотрим функцию f(x)=3\cdot9^x-28\cdot 3^x+9
Область определения: D(f)=(-\infty;+\infty)

Приравниваем функцию к нулю
f(x)=0;\,\,\,\, 3\cdot9^x-28\cdot 3^x+9=0\\ 3\cdot 3^{2x}-28\cdot 3^x+9=0
Пусть 3^x=t, причем t\ \textgreater \ 0 в результате получаем

3t^2-28t+9=0 - квадратное уравнение

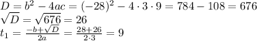
D=b^2-4ac=(-28)^2-4\cdot3\cdot9=784-108=676\\ \sqrt{D} = \sqrt{676}=26\\ t_1= \frac{-b+ \sqrt{D} }{2a} = \frac{28+26}{2\cdot3} =9
t_2= \frac{-b-\sqrt{D} }{2a} = \frac{28-26}{2\cdot3}= \frac{1}{3}

Обратная замена
 \left[\begin{array}{ccc}3^x=9\\ 3^x= \frac{1}{3} \end{array}\right\Rightarrow \left[\begin{array}{ccc}3^x=3^2\\3^x=3^{-1}\end{array}\right\Rightarrow \left[\begin{array}{ccc}x_1=2\\ x_2=-1\end{array}\right

Найдем теперь решение неравенства:

___+____[-1]___-_____[2]____+____

ответ: x ∈ [-1;2]
4,8(45 оценок)
Открыть все ответы
Ответ:
мротмсс
мротмсс
18.02.2022

Свойства:

Пространство и рельеф – к наиболее существенным для землеустройства пространственным свойствам земли относятся: площади землевладений и землепользований, их конфигурация, протяженность, местоположение и взаимная удаленность. Размер участков пашни, их конфигурация оказывает влияние на урожайность сельскохозяйственных культур, производительность техники. Многие пространственные свойства земли определяются ее рельефом – совокупностью форм земной поверхности: они воздействуют на использования и охраны земель, размещению и организацию сельскохозяйственного производства. для принятия решений при внутрихозяйственном землеустройстве необходима характеристика рельефа: глубина расчленения, крутизна склонов. Значение этих величин определяют размеры и конфигурацию производственных участков, степень дренированности, ее подверженность эрозии. Среди характеристик рельефа особое значение имеет уклон земной поверхности, как главный фактор водной эрозии, он оказывает ограничивающее воздействие на распаханность с/х угодий и размещение пропашных культур.

Почвенный покров – верхняя биологически активная оболочка земли – почва. Ее важное качество – плодородие, что делает ее пригодной для возделывания растений, и тем самым для использования земли в качестве главного средства с/х производства. качество почв определяется их физическим, механическим, химическим составом и содержанием гумуса.

Естественный растительный покров. На однородных участках земли складываются определенные совокупности растений, они характеризуются видовым составом, численностью и сочетанием пространственной структурой и динамикой. Факторы природной среды обуславливают закономерное пространственное размещение растительности. В сельском хозяйстве естественная растительность – является источником зеленых и грубых кормов для скота, средством повышения плодородия, накопления органики, ведущим фактором противоэрозионной защиты земель, сдерживающим засоление и загрязнение почв.

Гидрогеологические и гидрографические условия. Гидрогеологические свойства земель зависят от состава, происхождения и динамики подземных вод, при близком залегании грунтовых вод происходит засоление. Сведения о гидрографической сети применяются при организации сельскохозяйственных угодий севооборотов.

Климатические условия. Формирование многих свойств земли зависит от климата, от обеспеченности территории теплом и влагой.

Объяснение:

выбирай

4,7(58 оценок)
Ответ:
Дима51497
Дима51497
18.02.2022

Відповідь:

В каком году возникло самбо?

а 1902 г.

б 1914 г.

В 1938 г.

2.  

В какой стране возникло самбо?

Япония

Бразилия

СССР

3.  

Что означает самбо?

Самооборона

Самозащита без оружия

Самозащита без ответственности

4.  

Кто считается основателем самбо?

В. Спиридонов

А. Харлампиев

В. Ощепков

5.  

Из скольких групп приемов состоит техника самбо?

Из двух

Из трех

Из четырех

6.  

Сколько возрастных групп предусмотрено в соревнованиях по самбо?

5

6

7

7.  

Сколько минут составляют время схватки?

2-3 мин

3-5 мин

7-10 мин

8.  

Угол какого цвета должен занять спортсмен, которого объявили первым?

Красный

Синий

Белый

9.  

В каком городе было создано самбо?

Москва

Минск

Ленинград

10.  

За что на соревнованиях по самбо присуждается

За бросок соперника на грудь, плечо, живот, таз с падением атакующего

За удержание в течение более 10, но менее 20 секунд

За бросок соперника на бок без падения атакующего

Пояснення:

4,6(11 оценок)
Новые ответы от MOGZ: Другие предметы
logo
Вход Регистрация
Что ты хочешь узнать?
Спроси Mozg
Открыть лучший ответ