М
Молодежь
К
Компьютеры-и-электроника
Д
Дом-и-сад
С
Стиль-и-уход-за-собой
П
Праздники-и-традиции
Т
Транспорт
П
Путешествия
С
Семейная-жизнь
Ф
Философия-и-религия
Б
Без категории
М
Мир-работы
Х
Хобби-и-рукоделие
И
Искусство-и-развлечения
В
Взаимоотношения
З
Здоровье
К
Кулинария-и-гостеприимство
Ф
Финансы-и-бизнес
П
Питомцы-и-животные
О
Образование
О
Образование-и-коммуникации
Hothhgggvhn
Hothhgggvhn
20.07.2020 23:16 •  Другие предметы

Площадь прямоугольника равна 16 см2, а стороны относятся как 1: 4. Вычислите тангенсы углов, образованных диагональю прямоугольника с его сторонами.

👇
Ответ:
JokeHa
JokeHa
20.07.2020
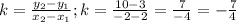
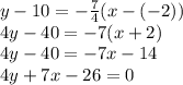
Уравнение прямой, проходящей через точку (x_0;y_0):

y-y_0=k(x-x_0), где k - угловой коэффициент касательной.

Нам неизвестно k. Но его можно найти, если известны координаты точек (x_1;y_1) и (x_2;y_2), через которые проходит эта прямая.

k=\frac{y_2-y_1}{x_2-x_1}; k=\frac{10-3}{-2-2}=\frac{7}{-4}=-\frac{7}{4}

Вернемся к основному уравнению. В качестве точки (x_0;y_0) можно взять любую из двух нам известных. Например вторую. Тогда уравнение прямой будет выглядеть так:

y-10=-\frac{7}{4}(x-(-2)) \\4y-40=-7(x+2)\\ 4y-40= -7x-14 \\4y+7x-26=0

Последнее уравнение и есть уравнение нашей прямой.
4,5(85 оценок)
Открыть все ответы
Ответ:
Ерко365
Ерко365
20.07.2020

театрон -места для зрителей в древнегреческом театре

амфитеатр -У древних греков и римлян: сооружение для зрелищ, в к-ром места для зрителей возвышались полукругом.

парод — в древнегреческом театре (трагедии и комедии) хоровая песня, которая исполнялась хором во время выхода на сцену, при движении в орхестру. Слово «парод» также относится к самому проходу (открытому коридору), конструктивному элементу античного театра.

скена-в древнегреческом театре временное деревянное помещение для переодевания и выхода актеров.

жертвенник-место, на к-ром приносились языческие жертвы.

орхестра-в античном театре — круглая площадка для выступлений актёров, хора и отдельных музыкантов. Первоначальное и этимологическое значение — «место для плясок». Первая круглая орхестра появилась у подножия афинского Акрополя. На ней выступали хоры — пели и танцевали дифирамбы в честь бога Диониса.

Объяснение:

...

4,5(50 оценок)
Ответ:
Ananzi
Ananzi
20.07.2020

Відповідь:

1. Які основні складові творчості В. Скотта?

Історизм, гуманізм, прагнення до об’єктивності

2. Що лягло в основу історичного роману?

Антикварний і готичний роман

3. Які умови В. Скотт вважав обов’язковими для створення історичного роману?

Історичну точність, серйозність проблематики, правдивість епохи та історичних осіб

4. У чому полягає головний пафос роману «Айвенго»?

В утвердженні місця особистості в історичному процесі

5. Що не утворює особливий колорит середньовіччя в романах В. Скотта?

Зображення особистих стосунків

6. Який використаний В. Скоттом прийом зробив історичний роман «Айвенго» цікавим для широкої публіки?

Змалювання загальної історії через показ окремих людей

7. Яку назву отримав тип роману, розроблений В. Скоттом?

Вальтерскоттівський

8. Сюжет-Поєднання історичних фактів із художньою вигадкою, широка панорама минулого

Опис героїв-Поєднання історично реального й вигаданого, зображення різних суспільних верств, відсутність негативного й позитивного поділу

Автор у романі-Загалом об’єктивне відображення ходу подій, вираження думок через дещо ідеалізованих персонажів

Історичний підхід- Обумовленість подій і характерів соціально-історичними умовами

Конфлікт-Поєднання з соціальними, національними й моральними чинниками

Пояснення:

4,7(51 оценок)
Новые ответы от MOGZ: Другие предметы
logo
Вход Регистрация
Что ты хочешь узнать?
Спроси Mozg
Открыть лучший ответ