М
Молодежь
К
Компьютеры-и-электроника
Д
Дом-и-сад
С
Стиль-и-уход-за-собой
П
Праздники-и-традиции
Т
Транспорт
П
Путешествия
С
Семейная-жизнь
Ф
Философия-и-религия
Б
Без категории
М
Мир-работы
Х
Хобби-и-рукоделие
И
Искусство-и-развлечения
В
Взаимоотношения
З
Здоровье
К
Кулинария-и-гостеприимство
Ф
Финансы-и-бизнес
П
Питомцы-и-животные
О
Образование
О
Образование-и-коммуникации

Установите границы предложений. Укажите предложения, грамматическая основа которых состоит из одного главного члена (подлежащего или сказуемого).

👇
Ответ:
Dintyukld
Dintyukld
27.05.2023
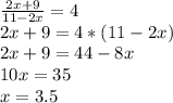
(2x+9)/(11-2x)=4
2х+9=4*(11-2х)
2х+9=44-8х
2х+8х=44-9
10х=35
х=35:10
х=3,5

Проверим:
(2*3,5+9)/(11-2*3,5)=4
16/4=4
4=4
4,5(1 оценок)
Ответ:
Polmadie
Polmadie
27.05.2023
\frac{2x+9}{11-2x}=4 \\ 2x+9=4*(11-2x) \\ 2x+9=44-8x \\ 10x=35 \\ x=3.5
4,4(76 оценок)
Открыть все ответы
Ответ:
fghqwert
fghqwert
27.05.2023

Наша странна богата своей историей, песнями и добротой. Её заполняют добрые люди. Вспоминая истории нашей страны сложно ппедставить сколько людей сражались за нашу жизнь и как это происходило. Мы должны уважать тех кто умер за наши жизни и мы сейчас не в заточении, здоровы и живы. Также наши традицыи связаны с историей, традицыи которые мы должны помнить и почитать. Наша родина- это также наша матерь которая желает всего лучшего своим детям и готова жизнь отдать за жизнь остальных. Именно поэтому я думаю что нужно любить и уважать нашу родину.

Объяснение:

Надеюсь

4,6(12 оценок)
Ответ:
Yeger
Yeger
27.05.2023

1. bugungi ishni ertaga qo'yma

2. Yer haydasang kuz hayda – kuz haydamasang yuz hayda.

3. yaxshi so'zga quloq sol, yomon so'zga o'roq sol

4. Bilmagan ishga urinma, urunib tuzoqqa ilinma

5. Tulkining tavbasidan qo'rq, mug'ombirning-yig'isidan

6. Kattani katta bil, kichikni- kichik

7. Tilingni botir qilma, o'zingni botir qil.

Объяснение:

Egasi konkret bo‘lmagan, kesimi orqali ifodalangan harakat umumga qaratilgan gap shaxsi umumlashgan gap deyiladi. Shaxsi umumlashgan gaplarning kesimi odatda ikkinchi shaxsning birligi formasidagi fe’l bilan ifodalanadi.

Omad!!

4,6(80 оценок)
Это интересно:
Новые ответы от MOGZ: Другие предметы
logo
Вход Регистрация
Что ты хочешь узнать?
Спроси Mozg
Открыть лучший ответ