М
Молодежь
К
Компьютеры-и-электроника
Д
Дом-и-сад
С
Стиль-и-уход-за-собой
П
Праздники-и-традиции
Т
Транспорт
П
Путешествия
С
Семейная-жизнь
Ф
Философия-и-религия
Б
Без категории
М
Мир-работы
Х
Хобби-и-рукоделие
И
Искусство-и-развлечения
В
Взаимоотношения
З
Здоровье
К
Кулинария-и-гостеприимство
Ф
Финансы-и-бизнес
П
Питомцы-и-животные
О
Образование
О
Образование-и-коммуникации
vanya498
vanya498
28.03.2021 20:15 •  Экономика

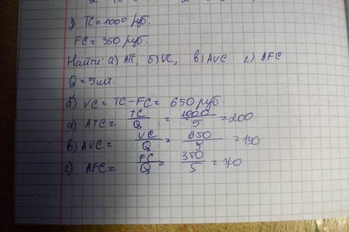
Общие издержки предприятия составляют 1000 рублей, постоянные издержки - 350 рублей. определите: а) ac; б) vc; в) avc; г) afc, если произведено 5 штук продукции.

👇
Ответ:
Shkolnik1287
Shkolnik1287
28.03.2021
Во вложении .............
Общие издержки предприятия составляют 1000 рублей, постоянные издержки - 350 рублей. определите: а)
4,7(5 оценок)
Открыть все ответы
Ответ:
UNNAMED3228
UNNAMED3228
28.03.2021

Сме́шанная эконо́мика, гибри́дная эконо́мика — экономическая система, которая включает как частную и корпоративную, так и общественную, либо государственную собственность на средства производства. Она позволяет частным предпринимателям и физическим лицам принимать независимые финансовые решения, однако их автономия ограничена тем, что государство или общество обладает приоритетом в этих финансовых вопросах. В основном идеи смешанной экономики придерживаются сторонники демократического социализма.

4,8(28 оценок)
Ответ:
Кимчи12
Кимчи12
28.03.2021
1) в жизни важно выбирать правильный выбор, который будет вести нас по прямой дороги. Выбор необходимо сделать тогда, когда мы уверенны, что он действительно правильный, когда уверенны в нем, когда чувствуем, что это действительно, то что нас связывает с ним , когда мы в нем не сомневаемся. Да, мы выбираем, что нам по душе. Важно выбирать правильный выбор, ведь он многое изменить может.
Когда мы его не делаем- это тоже наш выбор, наше права, наше решение
Нам приходится выбирать и каждый наш выбор может изменить многое, стоит для начало хорошо всё обдумать, а потом делать выбор в котором мы уверенны.
4,7(74 оценок)
Это интересно:
Новые ответы от MOGZ: Экономика
logo
Вход Регистрация
Что ты хочешь узнать?
Спроси Mozg
Открыть лучший ответ