плотность льда больше плотности воды. НЕТ потому что pв=1000 кг/м3 pл=900 кг/м3 2. из двух тел равной массы более плотное то, объём которого больше. НЕТ потому что p=m/V p~1/V ( обратная пропорциональность) 3. плотность данное жидкости зависит от ее объема. НЕТ плотность зависит от рода жидкости ( величина табличная) 4. плотность вычисляется делением массы тела на его объём. ДА потому что p=m/V
5. плотность вещества показывает массу единицы объёма этого вещества ДА потому что если V=1 ед объема p=m/1=m ( ед объема) точняк на 5+.
1.Температура - это физическая величина, характеризующая степень нагрева тела, среднюю кинетическую энергию частиц макроскопической системы, находящейся в состоянии термодинамического равновесия, состояние термодинамического равновесия макроскопической системы.
2.Не совсем понятен вопрос
3. Теплоизолированной называется такая система, которая не учавствует в теплообмене с окружающей средой. Это означает, что тепло не должно проникать в систему, и не должно из нее выходить ни в каком виде, в том числе и в виде разного рода излучений.
4. Целсии, Кельвины, Фаренгейты.
5. Сообщение рабочему телу термометра энергии тело, Т которого мы измеряем.
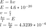
h = Дж*с
 Дж*с
c =
ответ 4.3239*10^{-6} м