М
Молодежь
К
Компьютеры-и-электроника
Д
Дом-и-сад
С
Стиль-и-уход-за-собой
П
Праздники-и-традиции
Т
Транспорт
П
Путешествия
С
Семейная-жизнь
Ф
Философия-и-религия
Б
Без категории
М
Мир-работы
Х
Хобби-и-рукоделие
И
Искусство-и-развлечения
В
Взаимоотношения
З
Здоровье
К
Кулинария-и-гостеприимство
Ф
Финансы-и-бизнес
П
Питомцы-и-животные
О
Образование
О
Образование-и-коммуникации
Oktay4828422
Oktay4828422
13.10.2021 20:11 •  Физика

Поезд от станции расстояние 1,5 км. за это время он развил скорость 54 км/ч. определить ускорение и время разгона поезда

👇
Ответ:
pnasta434
pnasta434
13.10.2021
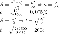
Дано:
S=1,5_K_M=1500_M\\
\nu=54 \frac{_K_M}{4} =15 \frac{_M}{_C}\\
\nu_0=0\\
-----\\
a; t-?

Решение:
S= \frac{\nu^2-\nu_0^2}{2a}= \frac{\nu^2}{2a}\Rightarrow a= \frac{\nu^2}{2S} \\
a= \frac{15^2}{2*1500}=0,075 \frac{_M}{c^2} \\
S= \frac{at^2}{2}\Rightarrow t= \sqrt{ \frac{2S}{a}}\\
t= \sqrt{\frac{2*1500}{0,075} } =200c
4,8(14 оценок)
Открыть все ответы
Ответ:
fana0296
fana0296
13.10.2021

Дано:
n=25.

V(1)=0,8 м^3.

p1=650 кг/м^3 (Плотность сосны).

p2=1000 кг/м^3. (Плотность воды).

P=? (Вес груза, который нужно найти).

Решение:
Условием того, чтобы тело плавало:

Сила Архимеда должна быть больше силы тяжести.

В нашем случае искомый вес груза, который может удержать плот на воде и будет составлять разницу между силой Архимеда и силой тяжести:
P=F(а)-F(т).

Где F(а) равна, согласно формуле:

Где p2 - плотность жидкости, в нашем случае - воды, V - объем тела, в нашем случае плота. Найдем его объем:
V=V(1)*25=0,8*25=20 м^3.

Тогда, F(a) равна:

F(a)=1000*10*20=200000 Н.

Теперь найдем F(т) - силу тяжести.

F(т)=m*g;

Где m - масса плота, равна:

Найдем F(т):

F(т)=p1*g*V;

Считаем:

F(т)=650*10*20=130000 Н.

Теперь найдем вес искомомго груза:

P=F(а)-F(т)=200000-130000=70000 Н.
Либо, если узнать в кг, получаем, зная формулу веса тела:

m=70000/10=7000 кг.

ответ: Плот удержит на воде груз весом 70кН (70000 Н), либо массу в 7000 кг.

4,6(74 оценок)
Ответ:
plsplizovich
plsplizovich
13.10.2021
Плотность гранита 2700 кг/м3. масса гранитного шара равна произведению плотности гранита на объем шара в м3: m=V.(ро)= 2600х32х10*-6= 0,0832 кг.
сила тяжести равна произведению массы на ускорение свободного падения (9,8 Н/кг): F= mg=0,0832кг х 9,8Н/кг = 0,81536 Н.
сила Архимеда равна произведению плотности жидкости (вода 1000 кг/м3) на ускорение свободного падения (9,8Н/кг) и на объем погруженной части тела V: F=1000x9.8x32x10*-6=0.3136H 
сила выталкивающая тело из воды равна разности силы тяжести и силы Архимеда: F=0,81536 Н - 0,3136Н=0,5Н.
4,8(88 оценок)
Это интересно:
Новые ответы от MOGZ: Физика
logo
Вход Регистрация
Что ты хочешь узнать?
Спроси Mozg
Открыть лучший ответ