М
Молодежь
К
Компьютеры-и-электроника
Д
Дом-и-сад
С
Стиль-и-уход-за-собой
П
Праздники-и-традиции
Т
Транспорт
П
Путешествия
С
Семейная-жизнь
Ф
Философия-и-религия
Б
Без категории
М
Мир-работы
Х
Хобби-и-рукоделие
И
Искусство-и-развлечения
В
Взаимоотношения
З
Здоровье
К
Кулинария-и-гостеприимство
Ф
Финансы-и-бизнес
П
Питомцы-и-животные
О
Образование
О
Образование-и-коммуникации
юлка10
юлка10
12.04.2021 20:52 •  Физика

Тело упало с высоты 45 м. каково время падения тела?

👇
Ответ:
Tini2311
Tini2311
12.04.2021
Тело упало с высоты 45 м. Каково время падения тела?

Тело упало с высоты 45 м. каково время падения тела?
4,8(20 оценок)
Ответ:
limon4ikru
limon4ikru
12.04.2021
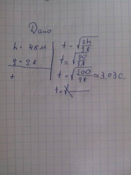
H=45м
g=10м/с^2
H=gt^2/2.    t=√2H/g=√2*45/10=√9=3с
ответ:t=3 c
4,6(69 оценок)
Открыть все ответы
Ответ:
prodima780
prodima780
12.04.2021

1. Уравнение колебаний для напряжения:

U = Um*sin(wt) = Um*sin(2*pi*v*t), где Um - амплитудное значение напряжения, а v - частота в герцах. Тогда подходит

U = 220*sin(2*pi**50*t) = 220*sin(100*pi*t)

ответ: U = 220*sin(100*pi*t)

2. Дано:

S = 600 см² = 0,06 м² = 6*10^(-2) м²

N = 100 = 10²

B = 20 мТл = 20*10^(-3) Тл

v = 10 Гц

εm - ?

ЭДС индукции ε равна производной магнитного потока Ф со знаком "-":

ε = -Ф'

Магнитный поток Ф равен произведению магнитной индукции B, площади поверхности S, количества витков N и косинуса угла α между B и нормалью к поверхности:

Ф = BSNcosα, где α = wt - произведение циклической частоты и времени, где

w = 2*pi*v. Возвращаемся к ЭДС индукции:

ε = -Ф' = (-BSN*cos(wt))' = BSN*w*sin(wt) - отсюда можно сделать вывод, что амплитудное значение ЭДС индукции равно:

εm = BSN*w = BSN*2*pi*v = 20*10^(-3)*6*10^(-2)*10²*2*3,14*10 = 20*6*2*3,14*10^(-2) = 240*3,14*10^(-2) = 7,536 В

5 < 7,536 < 8 =>

=> ответ: в. от 5 до 8 В.

4,4(40 оценок)
Ответ:
Lilia55590
Lilia55590
12.04.2021

хз как решить, но вот пример

Объяснение:

Задание 15. Колебательный контур состоит из конденсатора ёмкостью С и катушки индуктивностью L. Во сколько раз уменьшится частота собственных электромагнитных колебаний в контуре, если его индуктивность увеличить в 18 раз, а ёмкость уменьшить в 2 раза?

Решение.

Период колебаний в колебательном контуре можно определить по формуле Томпсона:

,

а частоту его колебаний, как

По условию задания L2 = 18L, а C2 = C/2. Получаем значение новой частоты:

то есть, частота уменьшится в 3 раза.

ответ: 3

4,6(69 оценок)
Новые ответы от MOGZ: Физика
logo
Вход Регистрация
Что ты хочешь узнать?
Спроси Mozg
Открыть лучший ответ